00dni
00godz.
00min
00sek.
⚠️ OSTATNIE DNI PROMOCJI! Od 1 listopada podwyżka cen. To Twoja ostatnia szansa na kurs w tej cenie!Z kursów skorzystało już ? kursantów.

Matura rozszerzona z języka angielskiego 2025 w starej formule – rozwiązania i odpowiedzi

Matura rozszerzona
Szkoła średnia
Arkusze
Autor: Kamila z Matematyka Gryzie

Szukasz więcej arkuszy? Wszystkie z poprzednich lat znajdziesz teraz w jednym miejscu:

 👉 Arkusze.gryzie.pl

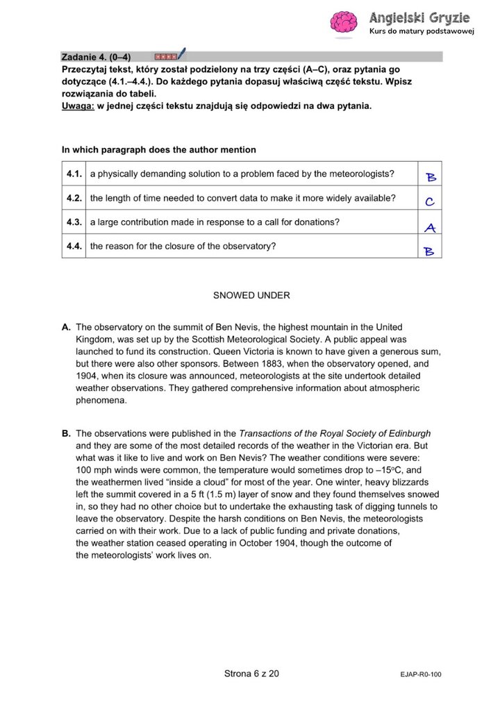
Matura rozszerzona z języka angielskiego już za Wami! 😮‍💨 Jeśli chcecie szybko sprawdzić swoje odpowiedzi, to mamy dla Was dobrą wiadomość. Rozwiązania wszystkich zadań maturalnych z języka angielskiego rozszerzonego w starej formule (2015) znajdziecie poniżej!

Zdajemy sobie sprawę, jak ważny był to egzamin, dlatego przygotowaliśmy dla Was rozwiązania, które pozwolą Wam:

  • Sprawdzić odpowiedzi i dowiedzieć się, czy przypadkiem nie popełniliście drobnych błędów,
  • Zrozumieć metodologię rozwiązania poszczególnych zadań,
  • Zyskać wskazówki do nauki na przyszłość, żeby jeszcze lepiej przygotować się na kolejne wyzwania.

A dla tych, którzy dopiero przygotowują się do matury w przyszłym roku…

Jeśli planujecie maturę z języka angielskiego w przyszłym roku, mamy dla Was świetną ofertę kursów! Dzięki nim skutecznie przygotujecie się do matury! Sprawdź naszą ofertę kursów angielskiego: Kursy z angielskiego.

Mamy nadzieję, że rozwiązania będą dla Was pomocne! ❤️

Trzymamy kciuki za Wasze wyniki i życzymy powodzenia w dalszej edukacji!

Do zobaczenia! 👋🏼

PS. Jeśli bylibyście zainteresowani pobraniem tego i innych arkuszy maturalnych, to możecie to zrobić na stronie https://naukagryzie.pl/arkusze 🥰