00dni
00godz.
00min
00sek.
⚠️ OSTATNIE DNI PROMOCJI! Od 1 listopada podwyżka cen. To Twoja ostatnia szansa na kurs w tej cenie!Z kursów skorzystało już ? kursantów.

Rozwiązania matury rozszerzonej z fizyki maj 2024

Matura rozszerzona
Arkusze
Autor: Kamila z Matematyka Gryzie

Szukasz więcej arkuszy? Wszystkie z poprzednich lat znajdziesz teraz w jednym miejscu:

 👉 Arkusze.gryzie.pl

⬇️ Arkusz do rozwiązywania tego egzaminu możesz pobrać poniżej wpisując swój e-mail ⬇️

Matura rozszerzona z fizyki CKE maj 2024

Podaj swój email żeby pobrać arkusz 😊

Zadanie 1

Zadanie 1

Zadanie 1.1 i 1.2

Zadanie 1.1 i 1.2

Zadanie 1.3

Zadanie 1.3

Zadanie 2.1

Zadanie 2.1

Zadanie 2.2

Zadanie 2.2

Zadanie 3.1

Zadanie 3.1

Zadanie 3.2

Zadanie 3.2

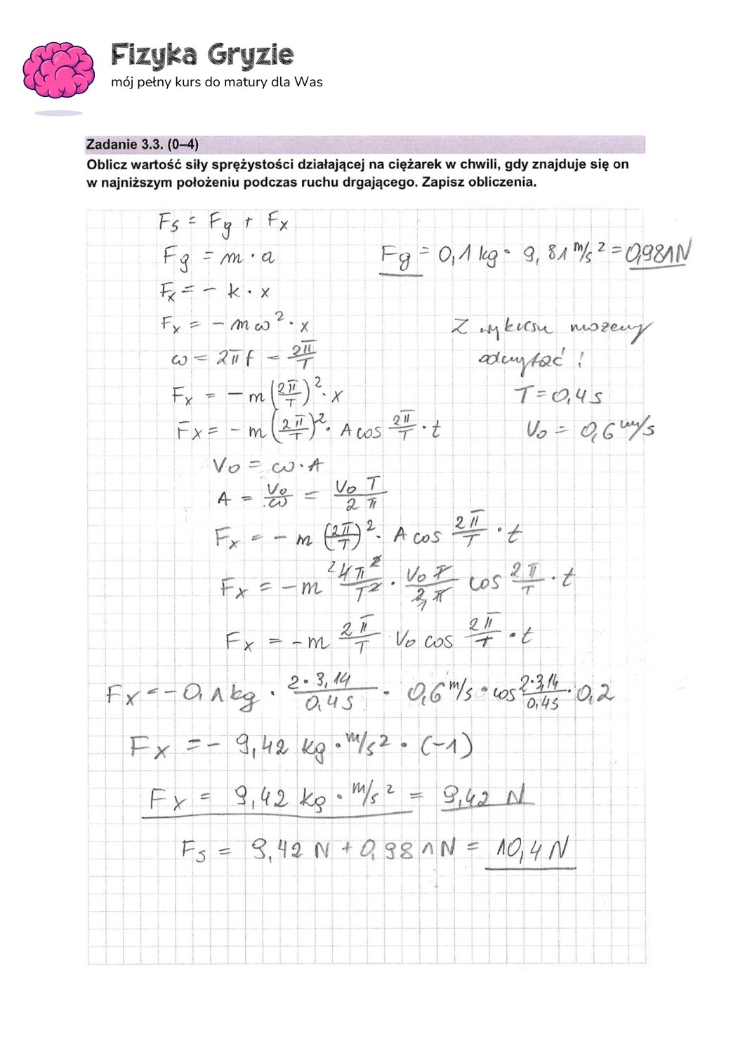
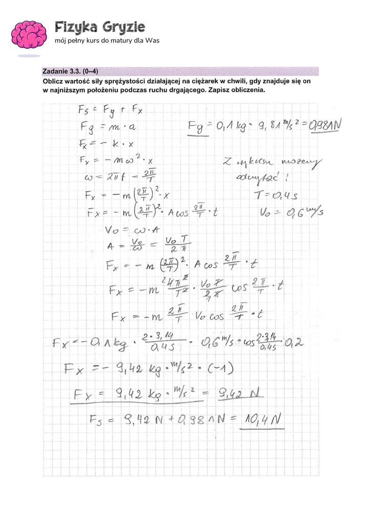
Zadanie 3.3

Zadanie 3.3

Zadanie 4.1

Zadanie 4.1

Zadanie 4.2

Zadanie 4.2

Zadanie 5.1

Zadanie 5.1

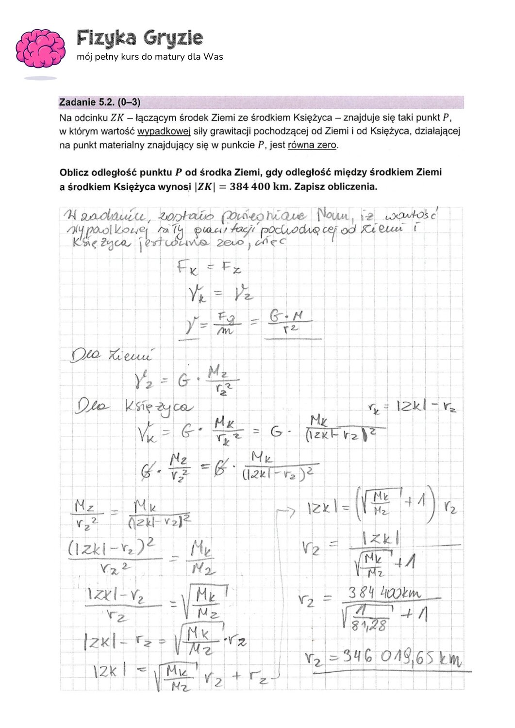
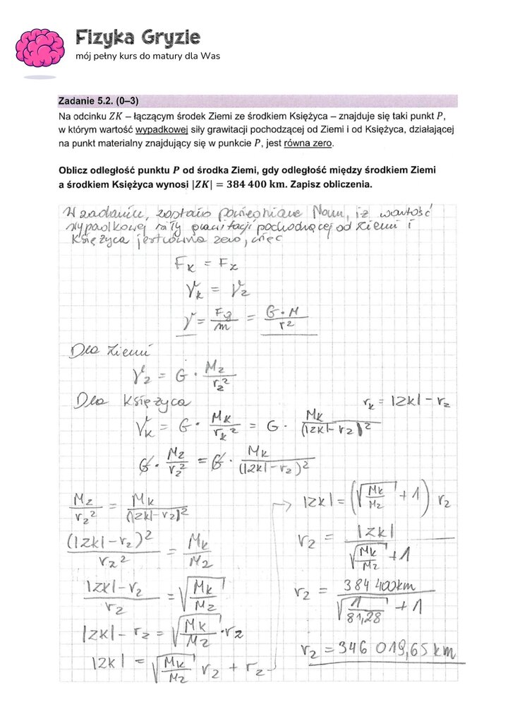
Zadanie 5.2

Zadanie 5.2

Zadanie 6

Zadanie 6

Zadanie 7.1

Zadanie 7.1

Zadanie 7.2 i 7.3

Zadanie 7.2 i 7.3

Zadanie 8.1

Zadanie 8.1

Zadanie 8.2

Zadanie 8.2

Zadanie 9.1

Zadanie 9.1

Zadanie 9.2

Zadanie 9.2

Zadanie 10.1 i 10.2

Zadanie 10.1 i 10.2

Zadanie 11

Zadanie 11

Zadanie 11.1 i 11.2

Zadanie 11.1 i 11.2

Zadanie 11.3

Zadanie 11.3