00dni
00godz.
00min
00sek.
⚠️ OSTATNIE DNI PROMOCJI! Od 1 listopada podwyżka cen. To Twoja ostatnia szansa na kurs w tej cenie!Z kursów skorzystało już ? kursantów.

Pewniaki Maturalne

Matura podstawowa
Notatki
Sprawdziany
Autor: Kamila z Matematyka Gryzie


Niniejszy artykuł stanowi zbiór różnorodnych zadań, które odzwierciedlają rzeczywistość egzaminacyjną matury. Są to .....

PEWNIAKI MATURALNE!

Zadania podobne do prezentowanych poniżej pojawiają się na każdej maturze. Jak wiemy schematy są powtarzalne, więc zachęcamy do i sprawdzenia swoich sił na poniższych przykładach.

ZADANIA DLA MATURZYSTÓW 2015 I 2023 

ZESTAW NR 1

Zadanie 1

Dany jest odcinek o końcach w punktach H = (-1,7) i L = (-2, -5). 

Jego długość wynosi

A. 153

B. 13

C. -145

D. 5

Zadanie 2

Środkiem odcinka AB jest punkt o współrzędnych S=(5,6). Wskaż współrzędne punktu A jeśli punkt B=(1,-7). 

A. (3,-1)

B. (5,8)

C. (-1, 8)

D. (9,19)

Zadanie 3

Dany jest kwadrat ABCD. Jego wierzchołkami są A=(-2,-1), B=(2, -2), C=(3,2), D=(-1,3). Obwód tego kwadratu jest równy

A. 20

B. 4

C.417

D. 410

Zadanie 4

Środkiem odcinka AB jest punkt o współrzędnych S=(1, -8). Wskaż współrzędne punktu A jeśli punkt B=(5,4). 

A. (3,-10)

B. (-3, -20)

C. (-10, 8)

D. (-9,10)

Zadanie 5

Dany jest kwadrat ABCD. Jego wierzchołkami są A=(1,-1), B=(5, -2), C=(6,2), D=(2,3). Punkt przecięcia przekątnych tego kwadratu jest równy

A. (72, 12)

B. (3, -32)

C. (52, 32)

D. (4, 52)

Zadanie 6

Dany jest sześcian o krawędzi równej 3 cm oraz sześcian o krawędzi równej 6 cm. Skala podobieństwa objętości tych sześcianów wynosi

A .8

B. 6

C. 4

D. 2

Zadanie 7

Dwa graniastosłupy są podobne, stosunek pól ich podstaw wynosi 9:25. Wyznacz stosunek objętości graniastosłupa o mniejszym polu podstawy do graniastosłupa o większym polu podstawy

A. 9:25

B. 27:125

C. 3:5

D. 3:25

Zadanie 8

Wskaż równanie prostej prostopadłej do prostej y = 5x + 12.

A. y = -5x + 13

B. y = - 15 + 6x

C. y = - 15x + 2

D. y = 15x - 2

Zadanie 9

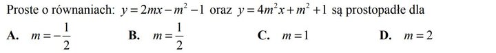
Proste o równaniach y = (-2m + 4)x + 2m + 6 oraz y = 5m - 4 + (-3m - 2)x są równoległe, gdy:

A. m = - 6

B. m = 65

C. m = 87

D. m = - 85

Zadanie 10

Zbiorem rozwiązań nierówności |x - 3| < 6 jest przedział:

A.(-9, 3)

B. (-∞, -9) ⋃ (3, +∞)

C. (-3, 9)

D. (-∞, -3) ⋃ (9, +∞)

Zadanie 11

Wielomian W(x)=6x3+5x2+x po rozłożeniu na czynniki ma postać:

A. W(x)=x2(6x+3)(x+13)

B. W(x)=6x(x+12)(x+13)

C. W(x)=6x(x-12)(x-13)

D. W(x)=x(6x+2)(x+13)

Zadanie 12

Środkiem okręgu (x - 6)2 + (y - 7)2 = 36 jest punkt:

A. S = (- 6, - 7)

B. S = (6, 7) 

C. S = (-6, 7)

D. S = (6 - 7)

Zadanie 13

Dany jest wielomian W określony wzorem W(x)=x3-5x2+5x-25. Wielomian W przy rozkładzie na czynniki ma postać:

A. W(x)=(x2-5)(x-1)

B. W(x)=(x2-5)(x+5)

C. W(x)=(x2+5)(x-5)

D. W(x)=(x+5)(x-1)




Zestaw 2


Zadanie 1

Zadanie 2

Zadanie 3

Zadanie 4

Zadanie 5

Zadanie 6

Zadanie 7

Zadanie 8

Zadanie 9

Zadanie 10

Zadanie 11

Zadanie 12

Zadanie 13

Zadanie 14 - formuła 2023

Zadanie 15 - formuła 2023