00dni
00godz.
00min
00sek.
⚠️ OSTATNIE DNI PROMOCJI! Od 1 listopada podwyżka cen. To Twoja ostatnia szansa na kurs w tej cenie!Z kursów skorzystało już ? kursantów.

Równania - sprawdzian GWO Matematyka z plusem - powtórka

Szkoła podstawowa
Sprawdziany
Autor: Kamila z Matematyka Gryzie

Hej! 🙋🏼‍♀️

Dzisiaj przygotowałam dla Ciebie film, w którym przerobimy najważniejsze typy zadań na sprawdzian - matematyka z plusem klasa 7 - równania ⤵️

Pamiętaj jednak, że cała wiedza, którą powinieneś posiadać jest zawarta w moich pełnych kursach, w których każdy dział znajdziesz wytłumaczony krok po kroku od zera.

Niezależnie od tego na jakim poziomie matematyki jesteś - ze mną każdy znajdzie coś dla siebie! 🥰

Koniecznie pobierz PDF do druku z zadaniami i rozwiąż je z filmem, który znajdziesz poniżej🤓

Sprawdzian matematyka z plusem kl. 7 - równania - zadania do druku PDF

Podaj e-mail i pobierz te zadania

Koniecznie obejrzyj film z rozwiązaniem do zadań ⤵️

⬇️ Kliknij i sprawdź moje pełne kursy ⬇️

👉🏼 Kurs do klasy 4

👉🏼 Kurs do klasy 5

👉🏼 Kurs do klasy 6

👉🏼 Kurs do klasy 7

👉🏼 Kurs do egzaminu ósmoklasisty

👉🏼 Kurs do szkoły średniej

👉🏼 Kurs do matury podstawowej

👉🏼 Kurs do matury rozszerzonej

Równania - sprawdzian matematyka z plusem - powtórka cz.1
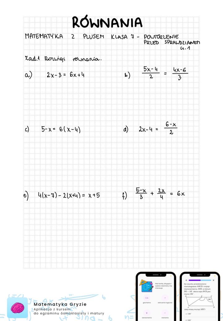
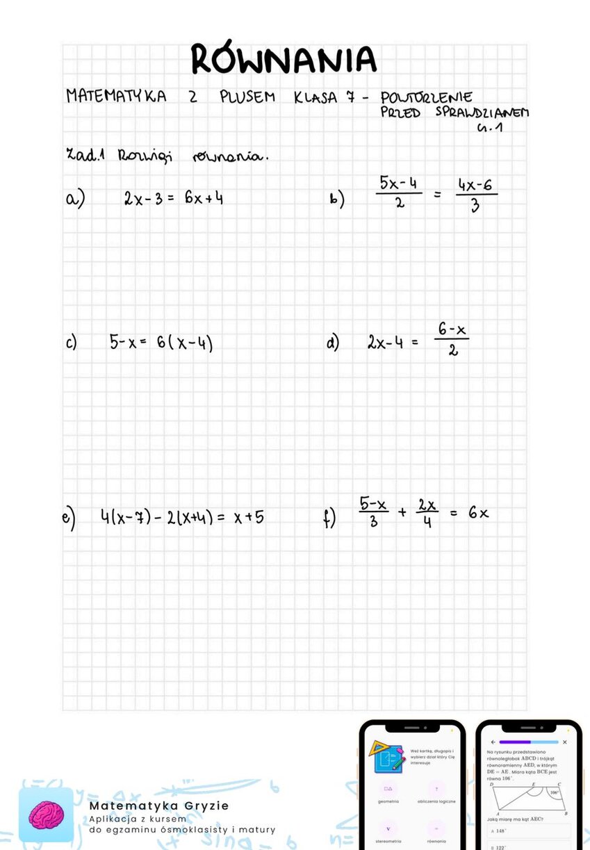
Zadania na sprawdzian GWO matematyka z plusem klasa 7 - równania
Równania - sprawdzian matematyka z plusem - powtórka cz.2
Zadania na sprawdzian GWO matematyka z plusem klasa 7 - równania
Równania - sprawdzian matematyka z plusem - powtórka cz.3
Zadania na sprawdzian GWO matematyka z plusem klasa 7 - równania
Równania - sprawdzian matematyka z plusem - powtórka cz.3
Zadania na sprawdzian GWO matematyka z plusem klasa 7 - równania
Równania - sprawdzian GWO Matematyka z plusem - powtórka