00dni
00godz.
00min
00sek.
⚠️ OSTATNIE DNI PROMOCJI! Od 1 listopada podwyżka cen. To Twoja ostatnia szansa na kurs w tej cenie!Z kursów skorzystało już ? kursantów.

Matura 2023 czerwiec matematyka rozszerzona CKE formuła 2015 odpowiedzi i rozwiązania

Matura rozszerzona
Arkusze
Autor: Kamila z Matematyka Gryzie

Szukasz więcej arkuszy? Wszystkie z poprzednich lat znajdziesz teraz w jednym miejscu:

 👉 Arkusze.gryzie.pl

Zadanie 1. (matura 2023 czerwiec matematyka rozszerzona CKE formuła 2015)

Zadanie 2. (matura 2023 czerwiec matematyka rozszerzona CKE formuła 2015)

Zadanie 3. (matura 2023 czerwiec matematyka rozszerzona CKE formuła 2015)

Zadanie 4. (matura 2023 czerwiec matematyka rozszerzona CKE formuła 2015)

Zadanie 5. (matura 2023 czerwiec matematyka rozszerzona CKE formuła 2015)

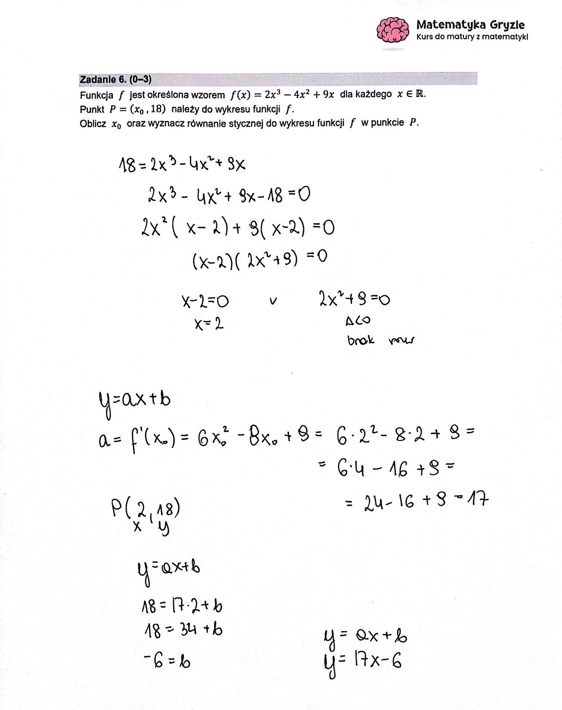
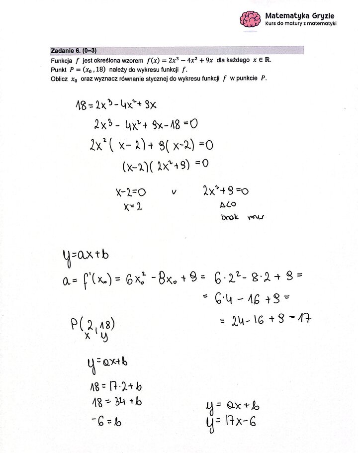
Zadanie 6. (matura 2023 czerwiec matematyka rozszerzona CKE formuła 2015)

Zadanie 7. (matura 2023 czerwiec matematyka rozszerzona CKE formuła 2015)

Zadanie 8. (matura 2023 czerwiec matematyka rozszerzona CKE formuła 2015)

Zadanie 9. (matura 2023 czerwiec matematyka rozszerzona CKE formuła 2015)

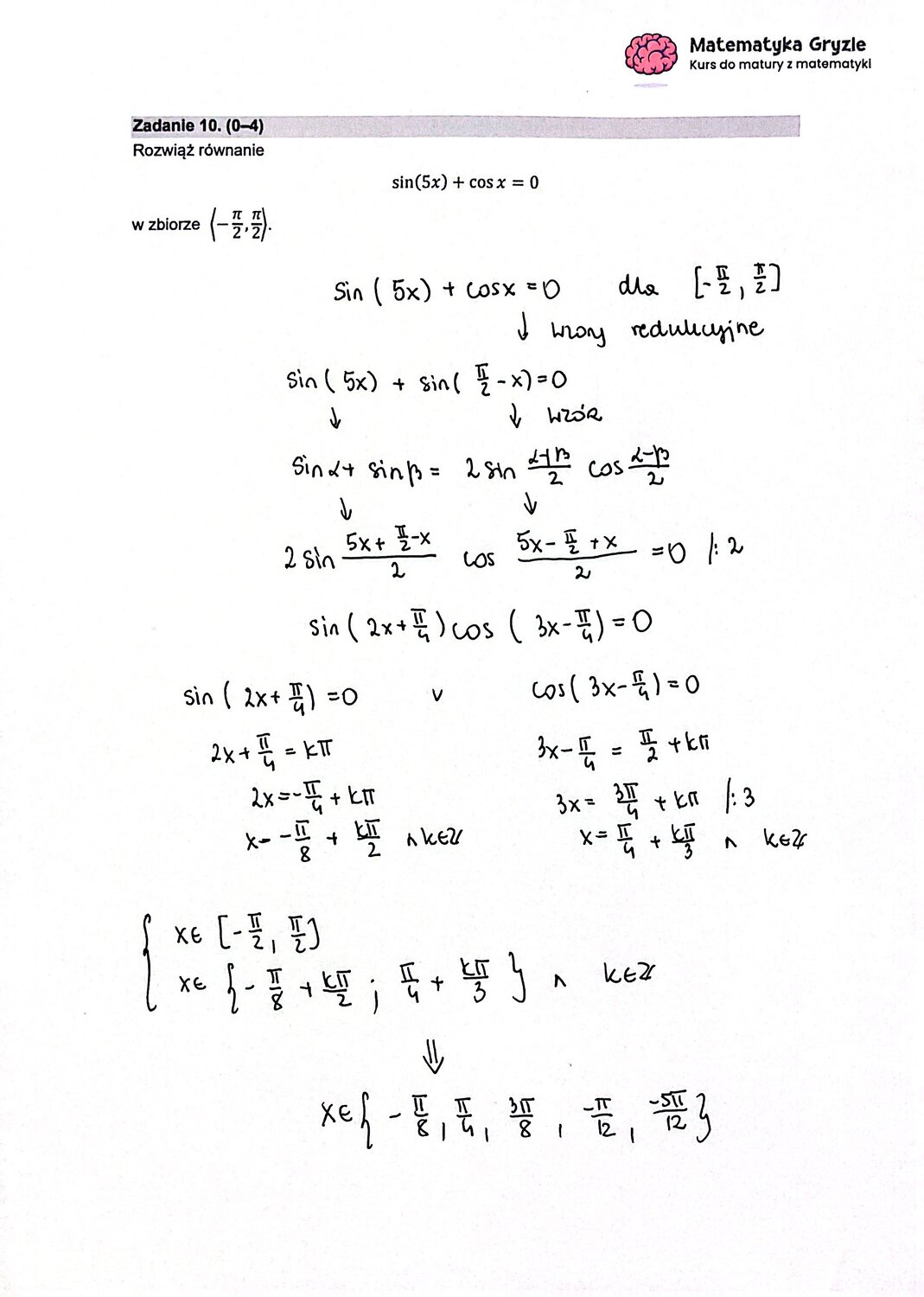
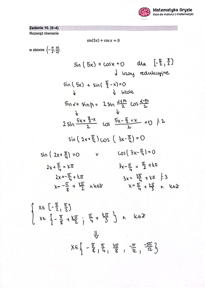
Zadanie 10. (matura 2023 czerwiec matematyka rozszerzona CKE formuła 2015)

Zadanie 11. (matura 2023 czerwiec matematyka rozszerzona CKE formuła 2015)

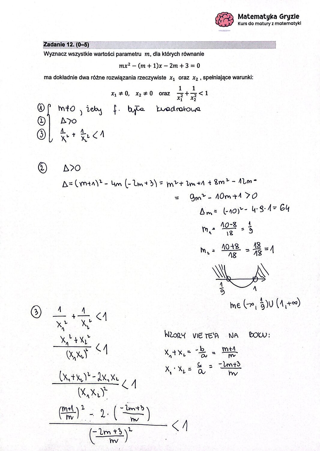
Zadanie 12. (matura 2023 czerwiec matematyka rozszerzona CKE formuła 2015)

Zadanie 13. (matura 2023 czerwiec matematyka rozszerzona CKE formuła 2015)