00dni
00godz.
00min
00sek.
⚠️ OSTATNIE DNI PROMOCJI! Od 1 listopada podwyżka cen. To Twoja ostatnia szansa na kurs w tej cenie!Z kursów skorzystało już ? kursantów.

Matura podstawowa z matematyki w terminie dodatkowym czerwiec 2023 rozwiązania odpowiedzi

Matura podstawowa
Arkusze
Autor: Kamila z Matematyka Gryzie

Co roku w czerwcu odbywają się matury w terminie dodatkowym dla osób, które nie mogły napisać matury w terminie majowym. Poniżej prezentuję Wam rozwiązania matury podstawowej z matematyki czerwiec 2023.

Zadanie 1. (matura 2023 czerwiec matematyka podstawowa CKE formuła 2015)

PSST... Ten i wszystkie inne arkusze pobierzesz w PDF na naszej stronie https://naukagryzie.pl/arkusze❣️

Zadanie 2. (matura 2023 czerwiec matematyka podstawowa CKE formuła 2015)

Zadanie 3. (matura 2023 czerwiec matematyka podstawowa CKE formuła 2015)

Zadanie 4. (matura 2023 czerwiec matematyka podstawowa CKE formuła 2015)

Zadanie 5. (matura 2023 czerwiec matematyka podstawowa CKE formuła 2015)

Zadanie 6. (matura 2023 czerwiec matematyka podstawowa CKE formuła 2015)

Zadanie 7. i 8. (matura 2023 czerwiec matematyka podstawowa CKE formuła 2015)

Zadanie 9. (matura 2023 czerwiec matematyka podstawowa CKE formuła 2015)

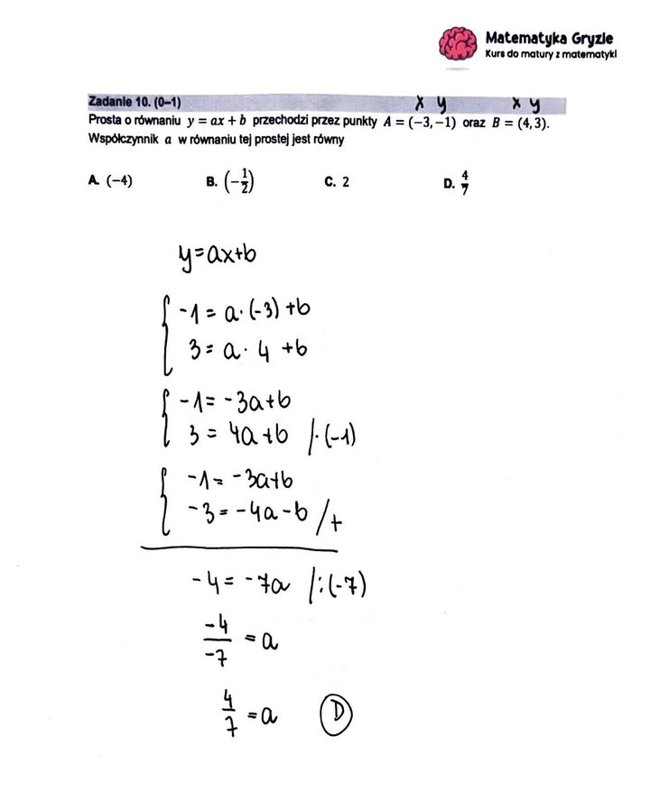
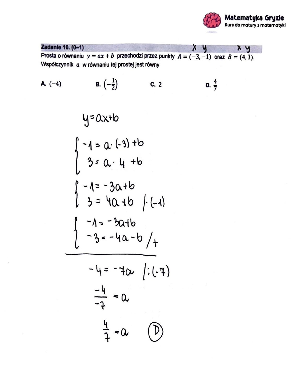
Zadanie 10. (matura 2023 czerwiec matematyka podstawowa CKE formuła 2015)

Zadanie 11. (matura 2023 czerwiec matematyka podstawowa CKE formuła 2015)

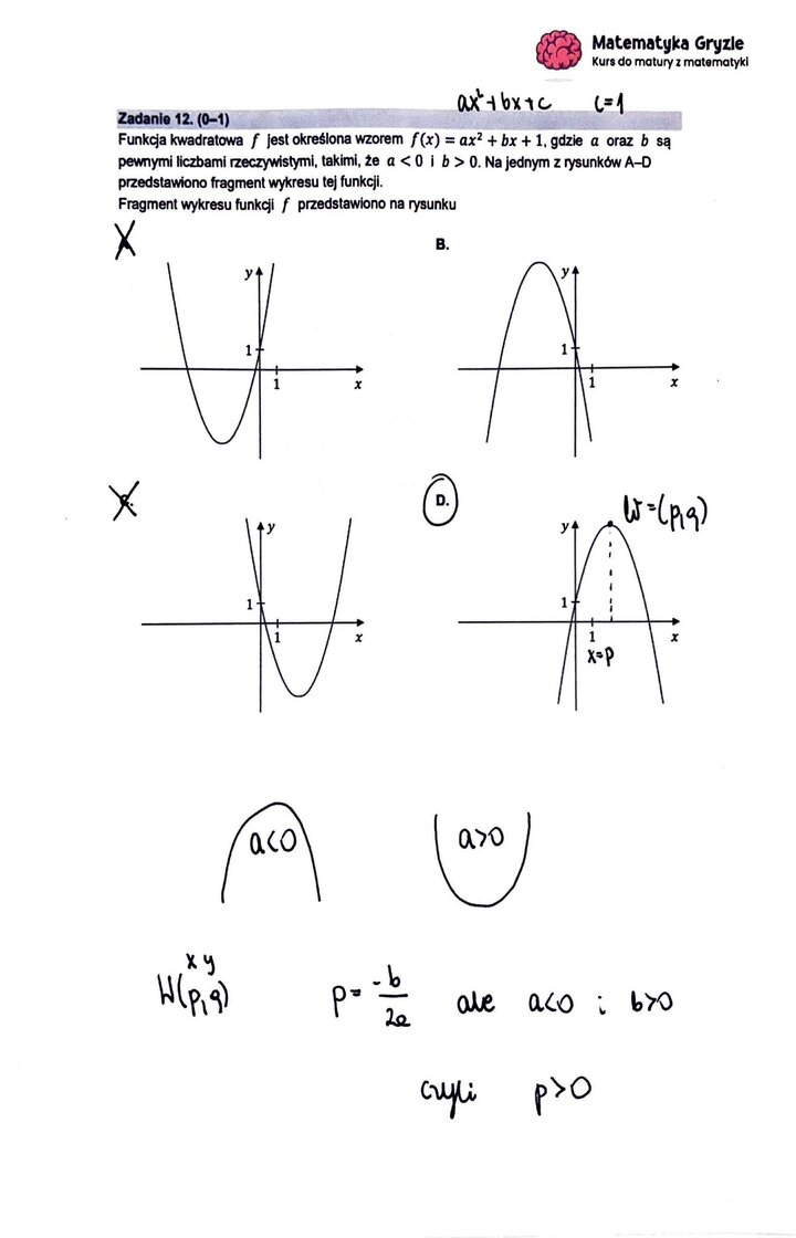
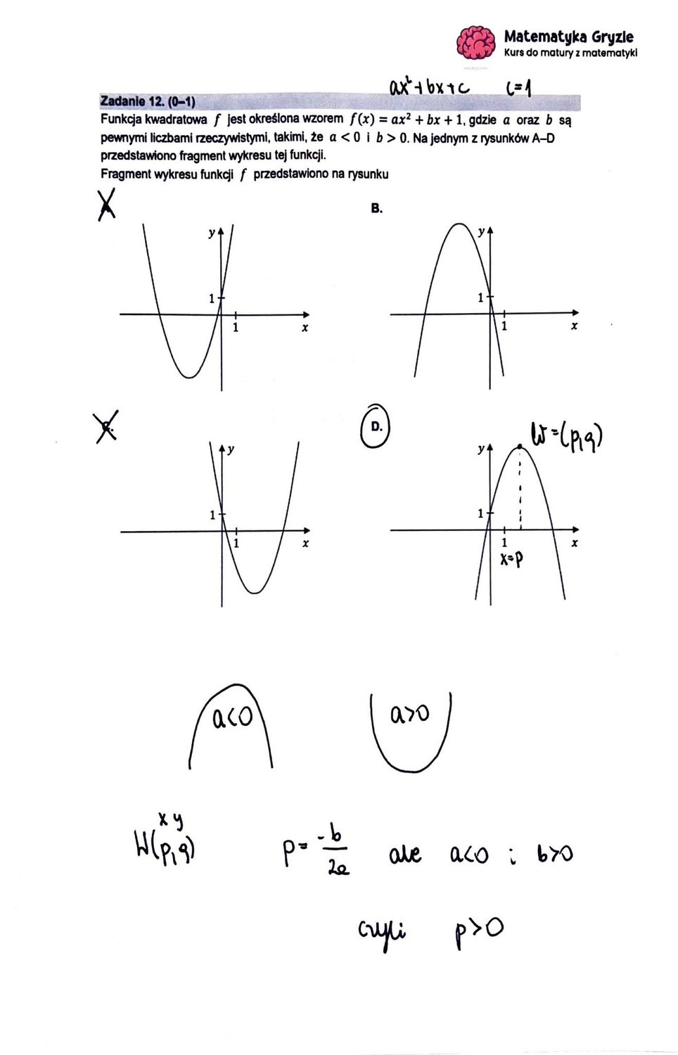
Zadanie 12. (matura 2023 czerwiec matematyka podstawowa CKE formuła 2015)

Zadanie 13. (matura 2023 czerwiec matematyka podstawowa CKE formuła 2015)

Zadanie 14. (matura 2023 czerwiec matematyka podstawowa CKE formuła 2015)

Zadanie 15. (matura 2023 czerwiec matematyka podstawowa CKE formuła 2015)

Zadanie 16. (matura 2023 czerwiec matematyka podstawowa CKE formuła 2015)

Zadanie 17. (matura 2023 czerwiec matematyka podstawowa CKE formuła 2015)

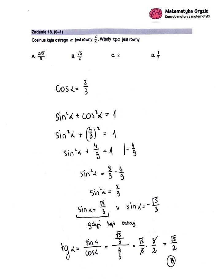
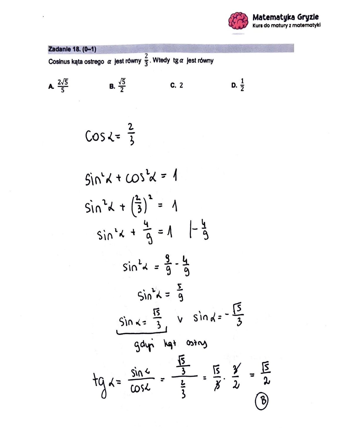
Zadanie 18. (matura 2023 czerwiec matematyka podstawowa CKE formuła 2015)

Zadanie 19. (matura 2023 czerwiec matematyka podstawowa CKE formuła 2015)

Zadanie 20. (matura 2023 czerwiec matematyka podstawowa CKE formuła 2015)

Zadanie 21. (matura 2023 czerwiec matematyka podstawowa CKE formuła 2015)

Zadanie 22. (matura 2023 czerwiec matematyka podstawowa CKE formuła 2015)

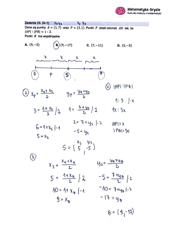
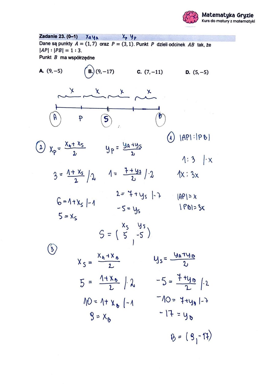
Zadanie 23. (matura 2023 czerwiec matematyka podstawowa CKE formuła 2015)

Zadanie 24. (matura 2023 czerwiec matematyka podstawowa CKE formuła 2015)

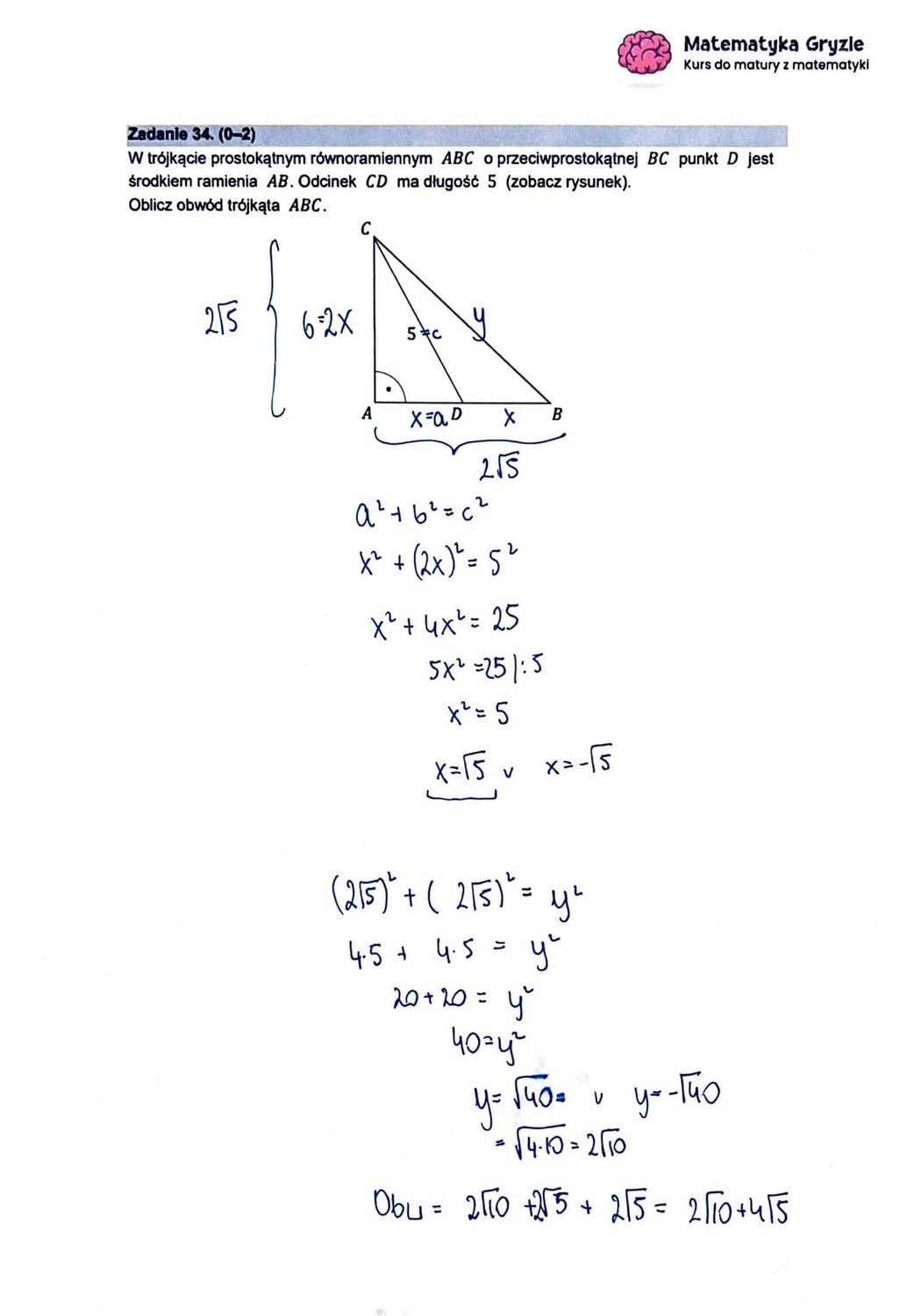
Zadanie 25. (matura 2023 czerwiec matematyka podstawowa CKE formuła 2015)

Zadanie 26. (matura 2023 czerwiec matematyka podstawowa CKE formuła 2015)

Zadanie 27. (matura 2023 czerwiec matematyka podstawowa CKE formuła 2015)

Zadanie 28. (matura 2023 czerwiec matematyka podstawowa CKE formuła 2015)

Zadanie 29. (matura 2023 czerwiec matematyka podstawowa CKE formuła 2015)

Zadanie 30. (matura 2023 czerwiec matematyka podstawowa CKE formuła 2015)

Zadanie 31. (matura 2023 czerwiec matematyka podstawowa CKE formuła 2015)

Zadanie 32. (matura 2023 czerwiec matematyka podstawowa CKE formuła 2015)

Zadanie 33. (matura 2023 czerwiec matematyka podstawowa CKE formuła 2015)

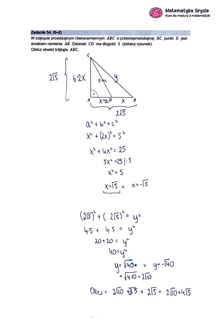
Zadanie 34. (matura 2023 czerwiec matematyka podstawowa CKE formuła 2015)

Zadanie 35. (matura 2023 czerwiec matematyka podstawowa CKE formuła 2015)

Zadanie 36. (matura 2023 czerwiec matematyka podstawowa CKE formuła 2015)