Szukasz więcej arkuszy? Wszystkie z poprzednich lat znajdziesz teraz w jednym miejscu:
⬇️ Arkusz do rozwiązywania tego egzaminu możesz pobrać poniżej wpisując swój e-mail ⬇️
Matura rozszerzona z matematyki CKE maj 2024 formuła 2015
Podaj swój email żeby pobrać arkusz 😊
PS. Jeśli bylibyście zainteresowani pobraniem innych arkuszy maturalnych, to możecie to zrobić na stronie matematykagryzie.pl/arkusze/matura-rozszerzona 🥰
Jeśli chcesz zobaczyć wszystkie arkusze do matury rozszerzonej z każdego przedmiotu to są na stronie naukagryzie.pl/arkusze/matura-rozszerzona 😊
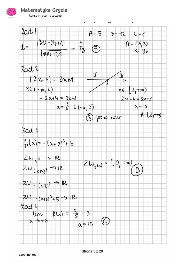
Zadanie 1, 2, 3, 4
Zadanie 5
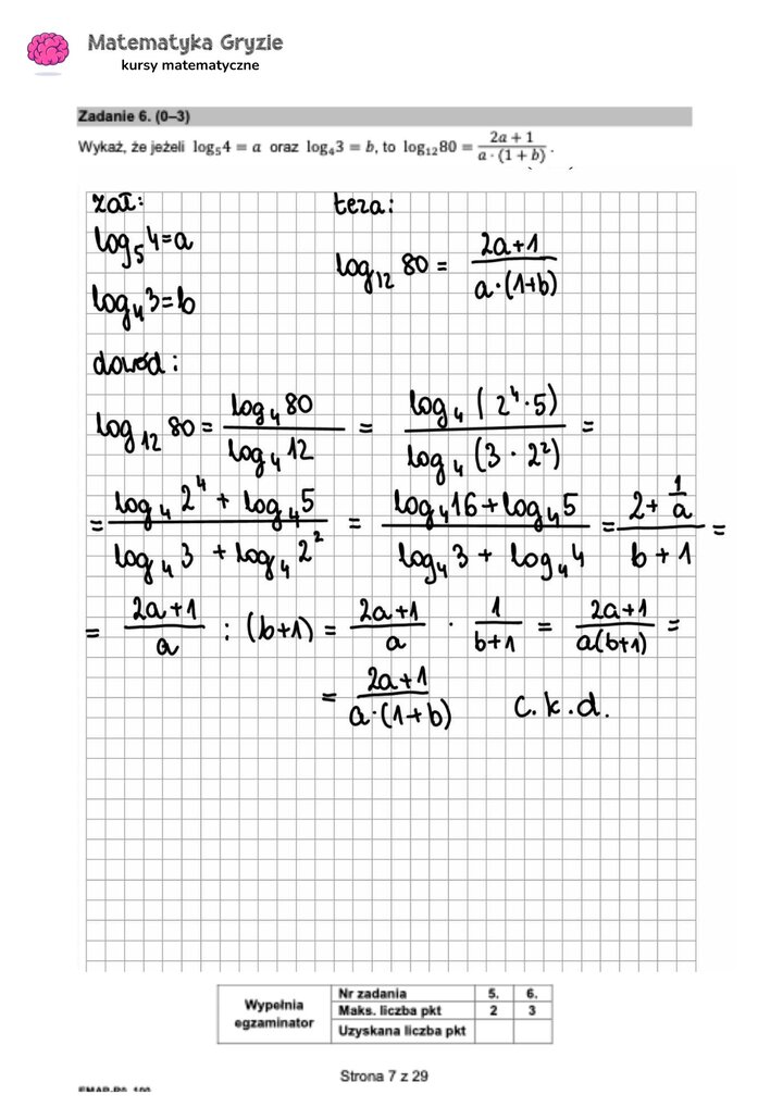
Zadanie 6
Zadanie 7
Zadanie 8
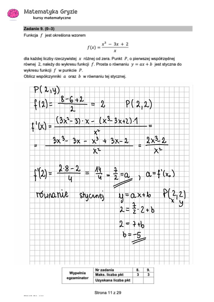
Zadanie 9
Zadanie 10
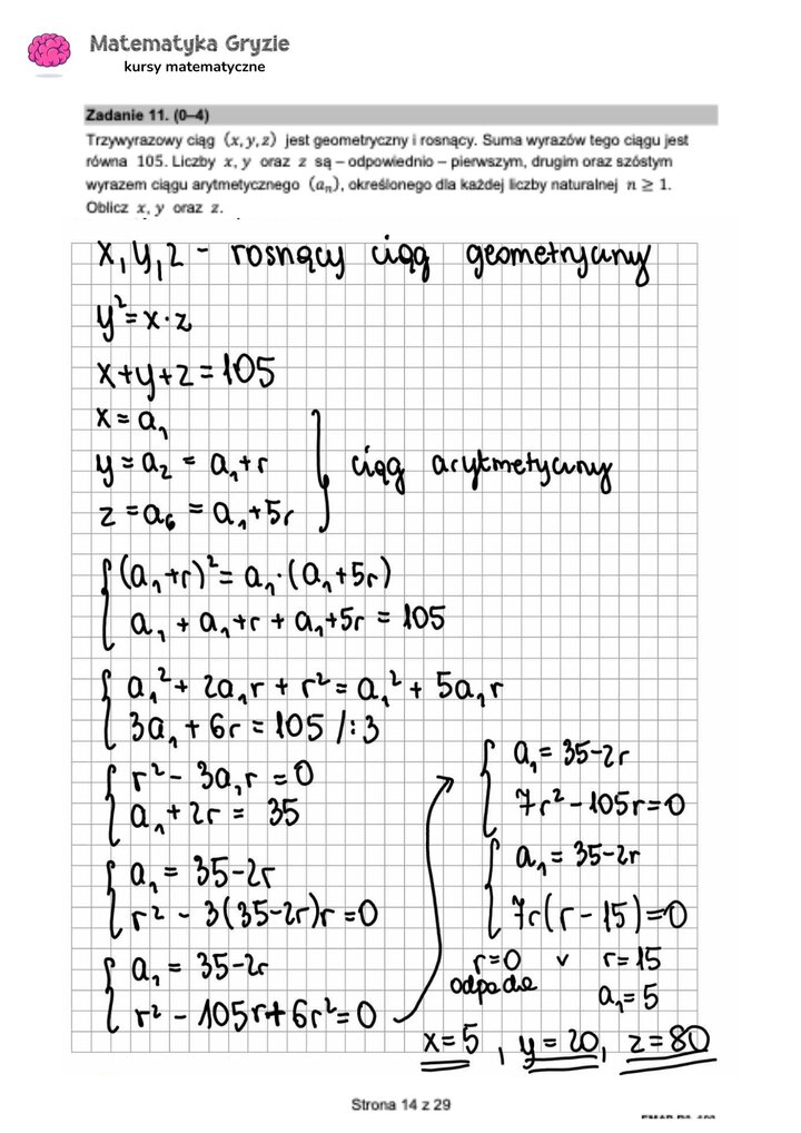
Zadanie 11
Zadanie 12
Zadanie 13
Zadanie 14
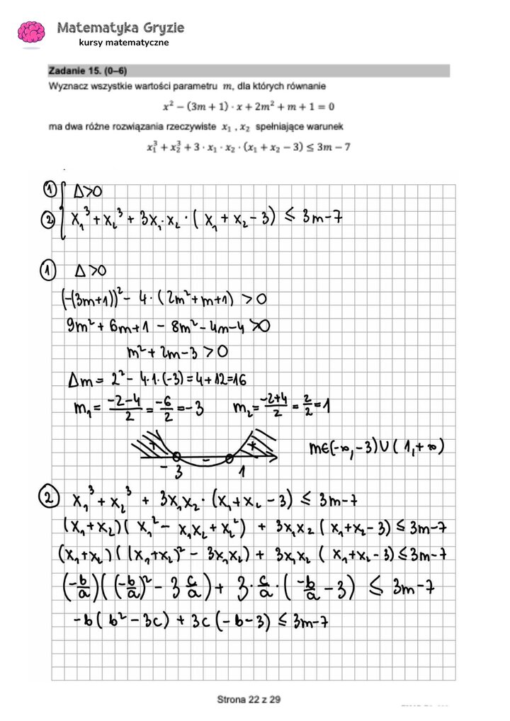
Zadanie 15
Zadanie 16