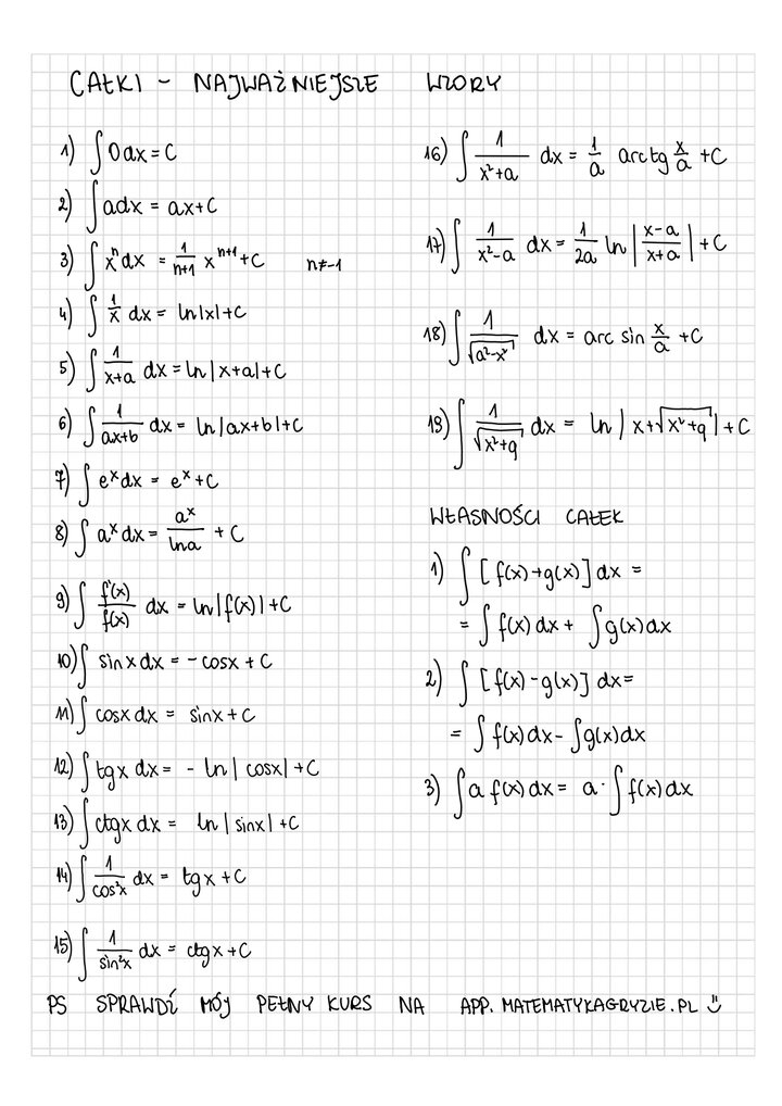
Podaj email i pobierz najważniejsze wzory z całek
9 października 2025
Nie czekaj, aż pojawią się trudności! Zobacz, jak wcześnie rozpoznać i zapobiec problemom w szkole podstawowej. Praktyczne wskazówki, które pomogą dziecku uczyć się z radością i pewnością siebie.
12 września 2025
Chcesz mieć wszystkie najważniejsze wzory i kluczowe informacje z matematyki w jednym miejscu? Teraz to możliwe! Przygotowaliśmy zestawienie, w którym znajdziesz uporządkowane wzory z każdego działu – od algebry, przez geometrię, aż po trygonometrię, ciągi oraz granice i pochodne. To szybka pomoc w nauce, powtórkach przed sprawdzianem i przygotowaniach do matury.