00dni
00godz.
00min
00sek.
⚠️ OSTATNIE DNI PROMOCJI! Od 1 listopada podwyżka cen. To Twoja ostatnia szansa na kurs w tej cenie!Z kursów skorzystało już ? kursantów.

Matura 2023 czerwiec matematyka podstawowa CKE formuła 2023 odpowiedzi i rozwiązania

Matura podstawowa
Arkusze
Autor: Kamila z Matematyka Gryzie

Szukasz więcej arkuszy? Wszystkie z poprzednich lat znajdziesz teraz w jednym miejscu:

 👉 Arkusze.gryzie.pl

Zadanie 1. (matura 2023 czerwiec matematyka podstawowa CKE formuła 2023)

Zadanie 2. (matura 2023 czerwiec matematyka podstawowa CKE formuła 2023)

Zadanie 3. (matura 2023 czerwiec matematyka podstawowa CKE formuła 2023)

Zadanie 4. (matura 2023 czerwiec matematyka podstawowa CKE formuła 2023)

Zadanie 5. (matura 2023 czerwiec matematyka podstawowa CKE formuła 2023)

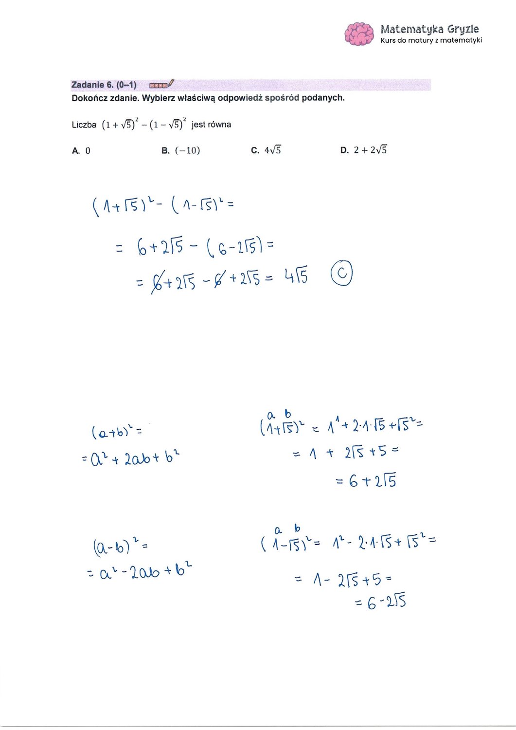
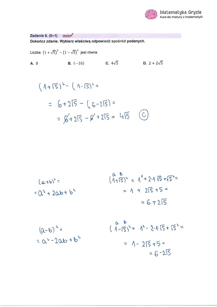
Zadanie 6. (matura 2023 czerwiec matematyka podstawowa CKE formuła 2023)

Zadanie 7. (matura 2023 czerwiec matematyka podstawowa CKE formuła 2023)

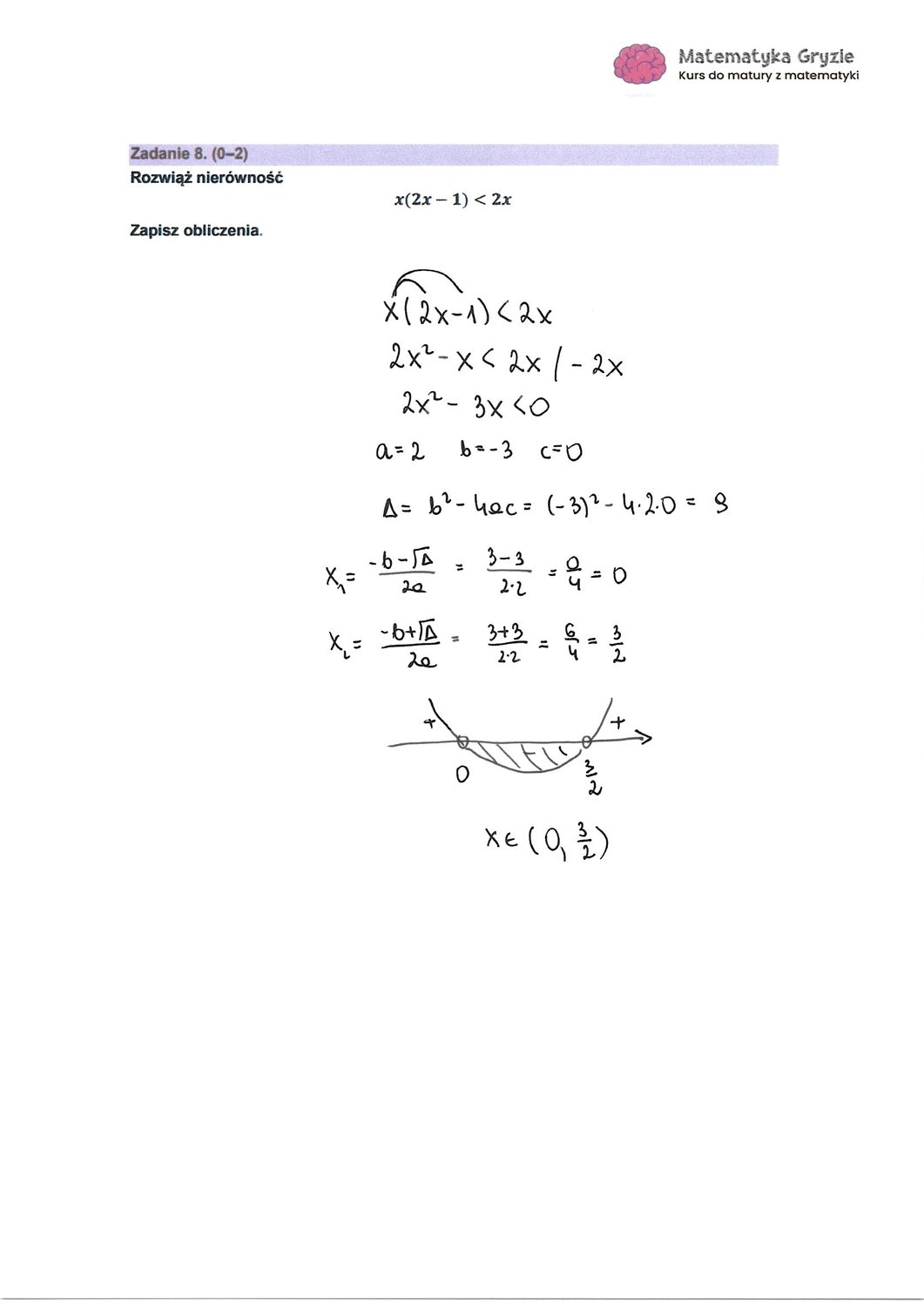
Zadanie 8. (matura 2023 czerwiec matematyka podstawowa CKE formuła 2023)

Zadanie 9. (matura 2023 czerwiec matematyka podstawowa CKE formuła 2023)

Zadanie 10. (matura 2023 czerwiec matematyka podstawowa CKE formuła 2023)

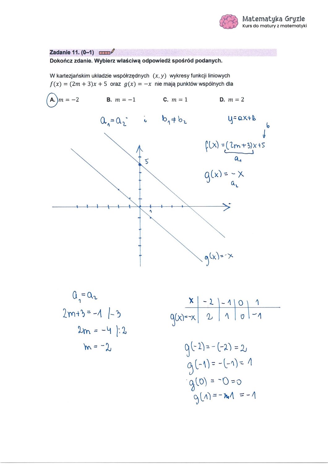
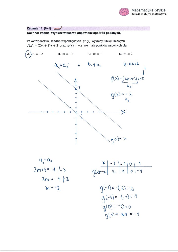
Zadanie 11. (matura 2023 czerwiec matematyka podstawowa CKE formuła 2023)

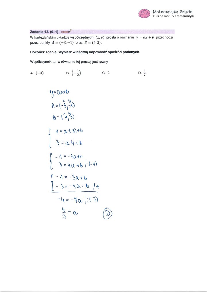
Zadanie 12. (matura 2023 czerwiec matematyka podstawowa CKE formuła 2023)

Zadanie 13. (matura 2023 czerwiec matematyka podstawowa CKE formuła 2023)

Zadanie 14. (matura 2023 czerwiec matematyka podstawowa CKE formuła 2023)

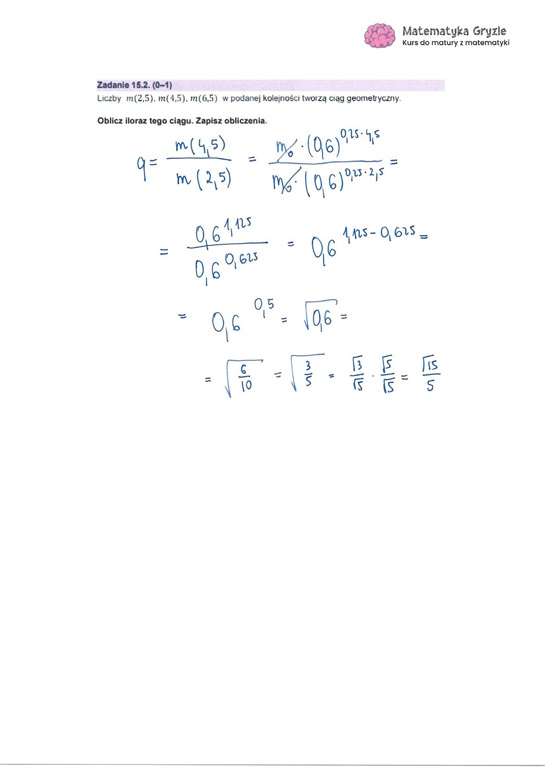
Zadanie 15. (matura 2023 czerwiec matematyka podstawowa CKE formuła 2023)

Zadanie 16. (matura 2023 czerwiec matematyka podstawowa CKE formuła 2023)

Zadanie 17. (matura 2023 czerwiec matematyka podstawowa CKE formuła 2023)

Zadanie 18. (matura 2023 czerwiec matematyka podstawowa CKE formuła 2023)

Zadanie 19. (matura 2023 czerwiec matematyka podstawowa CKE formuła 2023)

Zadanie 20. (matura 2023 czerwiec matematyka podstawowa CKE formuła 2023)

Zadanie 21. (matura 2023 czerwiec matematyka podstawowa CKE formuła 2023)

Zadanie 22. (matura 2023 czerwiec matematyka podstawowa CKE formuła 2023)

Zadanie 23. (matura 2023 czerwiec matematyka podstawowa CKE formuła 2023)

Zadanie 24. (matura 2023 czerwiec matematyka podstawowa CKE formuła 2023)

Zadanie 25. (matura 2023 czerwiec matematyka podstawowa CKE formuła 2023)

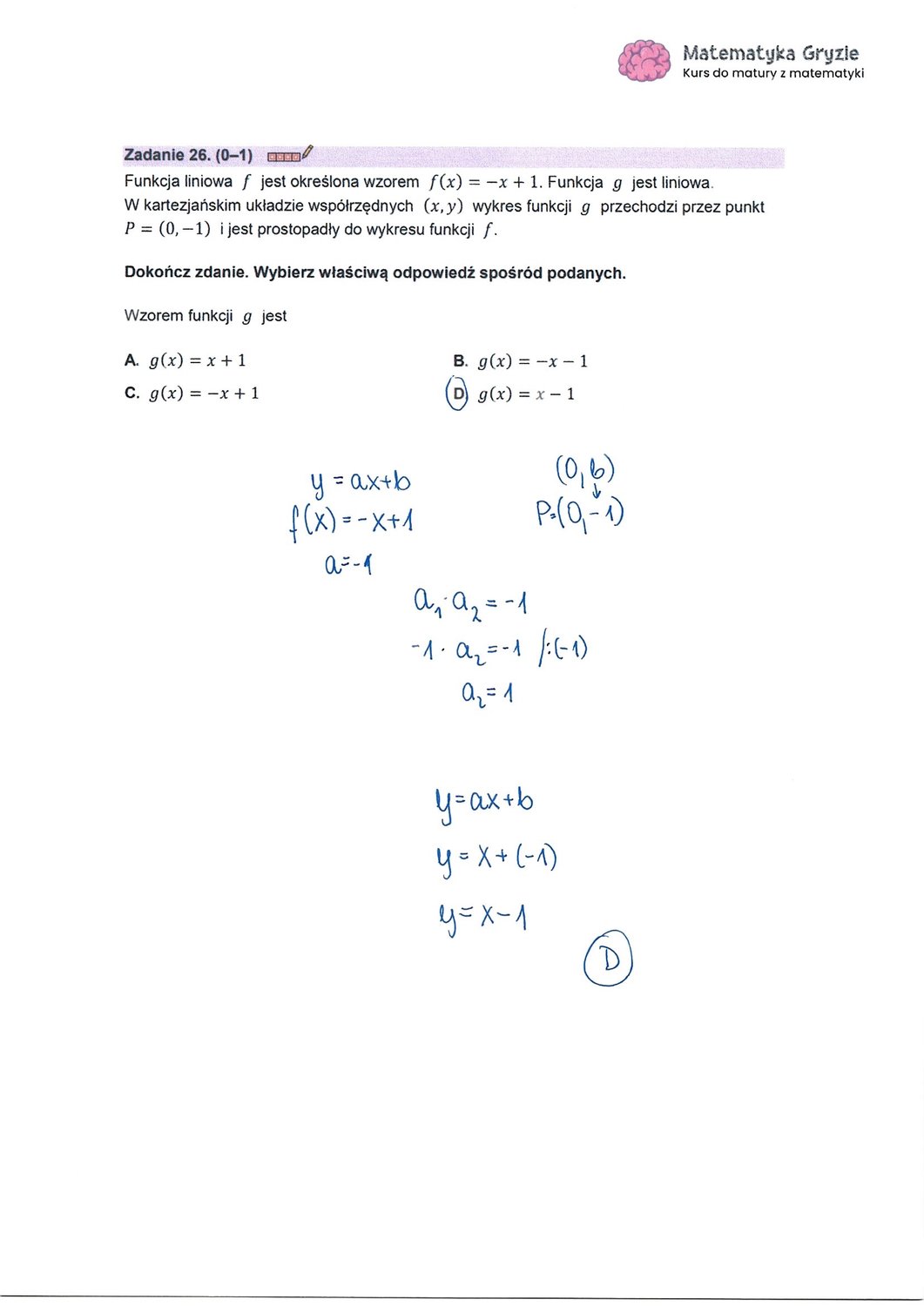
Zadanie 26. (matura 2023 czerwiec matematyka podstawowa CKE formuła 2023)

Zadanie 27. (matura 2023 czerwiec matematyka podstawowa CKE formuła 2023)

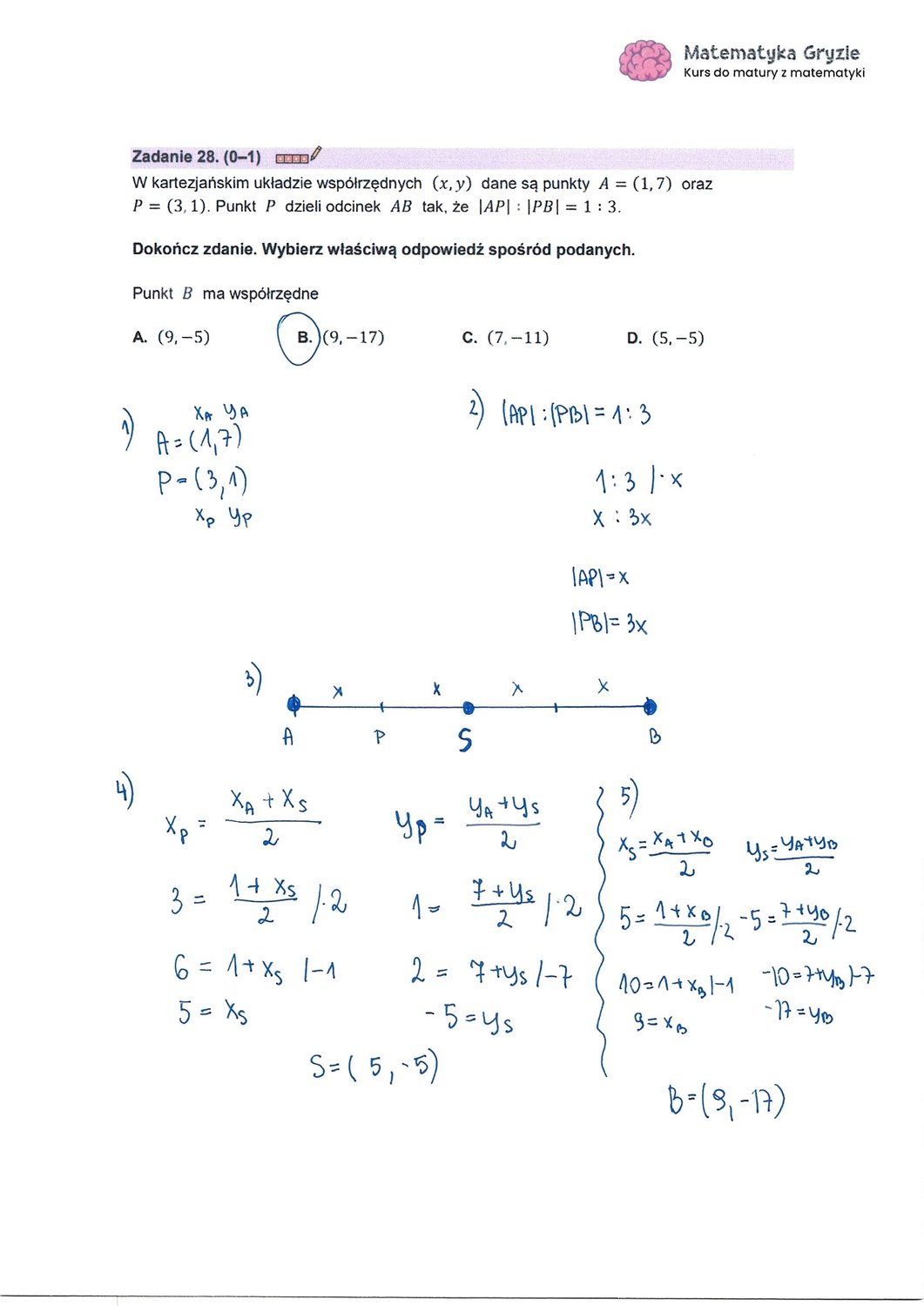
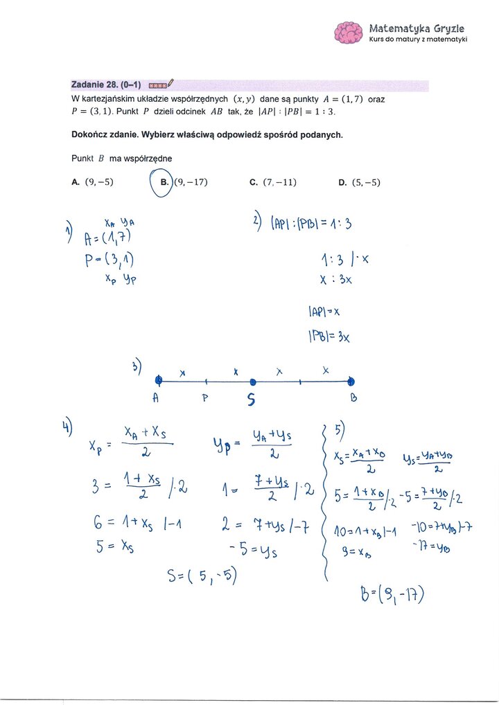
Zadanie 28. (matura 2023 czerwiec matematyka podstawowa CKE formuła 2023)

Zadanie 29. (matura 2023 czerwiec matematyka podstawowa CKE formuła 2023)

Zadanie 30. (matura 2023 czerwiec matematyka podstawowa CKE formuła 2023)

Zadanie 31. (matura 2023 czerwiec matematyka podstawowa CKE formuła 2023)

Zadanie 32. (matura 2023 czerwiec matematyka podstawowa CKE formuła 2023)

Zadanie 33. (matura 2023 czerwiec matematyka podstawowa CKE formuła 2023)

Matura 2023 czerwiec matematyka podstawowa CKE formuła 2023 odpowiedzi i rozwiązania