00dni
00godz.
00min
00sek.
⚠️ OSTATNIE DNI PROMOCJI! Od 1 listopada podwyżka cen. To Twoja ostatnia szansa na kurs w tej cenie!Z kursów skorzystało już ? kursantów.

ROZWIĄZANIA PRÓBNA MATURA GRUDZIEŃ 2022 matematyka

Matura podstawowa
Arkusze
Autor: Kamila z Matematyka Gryzie

Szukasz więcej arkuszy? Wszystkie z poprzednich lat znajdziesz teraz w jednym miejscu:

 👉 Arkusze.gryzie.pl

Zadanie 1. i 2.(matura próbna 2022 grudzień matematyka podstawowa CKE formuła 2023)

PSST... Ten i wszystkie inne arkusze pobierzesz w PDF na naszej stronie https://naukagryzie.pl/arkusze❣️

Zadanie 1 i 2, matura próbna z matematyki podstawowej Grudzień 2022

Zadanie 3. (matura próbna 2022 grudzień matematyka podstawowa CKE formuła 2023)

Zadanie 3, matura próbna z matematyki podstawowej Grudzień 2022

Zadanie 4. i 5.(matura próbna 2022 grudzień matematyka podstawowa CKE formuła 2023)

Zadanie 4 i 5, matura próbna z matematyki podstawowej Grudzień 2022

Zadanie 6.(matura próbna 2022 grudzień matematyka podstawowa CKE formuła 2023)

Zadanie 6, matura próbna z matematyki podstawowej Grudzień 2022

Zadanie 7. (matura próbna 2022 grudzień matematyka podstawowa CKE formuła 2023)

Zadanie 7, matura próbna z matematyki podstawowej Grudzień 2022
Enter some text...

Zadanie 8. i 9. (matura próbna 2022 grudzień matematyka podstawowa CKE formuła 2023)

Zadanie 9 i 8, matura próbna z matematyki podstawowej Grudzień 2022

Zadanie 10.(matura próbna 2022 grudzień matematyka podstawowa CKE formuła 2023).

Zadanie 10, matura próbna z matematyki podstawowej Grudzień 2022

Zadanie 11. i 12.(matura próbna 2022 grudzień matematyka podstawowa CKE formuła 2023)

Zadanie 11 i 12, matura próbna z matematyki podstawowej Grudzień 2022

Zadanie 13. i 14.(matura próbna 2022 grudzień matematyka podstawowa CKE formuła 2023)

Zadanie 13 i 14, matura próbna z matematyki podstawowej Grudzień 2022

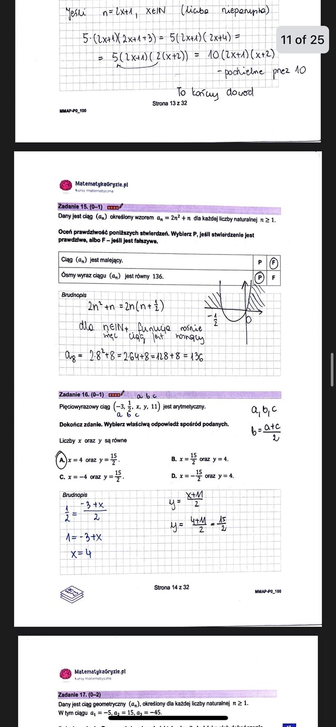
Zadanie 15. i 16.(matura próbna 2022 grudzień matematyka podstawowa CKE formuła 2023)

Zadanie 15 i 16, matura próbna z matematyki podstawowej Grudzień 2022

Zadanie 17. (matura próbna 2022 grudzień matematyka podstawowa CKE formuła 2023)

Zadanie 17, matura próbna z matematyki podstawowej Grudzień 2022

Zadanie 18. i 19.(matura próbna 2022 grudzień matematyka podstawowa CKE formuła 2023)

Zadanie 18 i 19, matura próbna z matematyki podstawowej Grudzień 2022

Zadanie 20. (matura próbna 2022 grudzień matematyka podstawowa CKE formuła 2023)

Zadanie 20, matura próbna z matematyki podstawowej Grudzień 2022

Zadanie 21. (matura próbna 2022 grudzień matematyka podstawowa CKE formuła 2023)

Zadanie 21, matura próbna z matematyki podstawowej Grudzień 2022

Zadanie 22. (matura próbna 2022 grudzień matematyka podstawowa CKE formuła 2023)

Zadanie 22, matura próbna z matematyki podstawowej Grudzień 2022

Zadanie 23. (matura próbna 2022 grudzień matematyka podstawowa CKE formuła 2023)

Zadanie 23, matura próbna z matematyki podstawowej Grudzień 2022

Zadanie 24. (matura próbna 2022 grudzień matematyka podstawowa CKE formuła 2023)

Zadanie 24, matura próbna z matematyki podstawowej Grudzień 2022

Zadanie 25. (matura próbna 2022 grudzień matematyka podstawowa CKE formuła 2023)

Zadanie 25, matura próbna z matematyki podstawowej Grudzień 2022

Zadanie 26. i 27. (matura próbna 2022 grudzień matematyka podstawowa CKE formuła 2023)

Zadanie 26 i 27, matura próbna z matematyki podstawowej Grudzień 2022

Zadanie 28. i 29. (matura próbna 2022 grudzień matematyka podstawowa CKE formuła 2023)

Zadanie 28 i 29, matura próbna z matematyki podstawowej Grudzień 2022

Zadanie 30. (matura próbna 2022 grudzień matematyka podstawowa CKE formuła 2023)

Zadanie 30, matura próbna z matematyki podstawowej Grudzień 2022
Zadanie 30.2 i 31, matura próbna z matematyki podstawowej Grudzień 2022

Zadanie 31. i 32.(matura próbna 2022 grudzień matematyka podstawowa CKE formuła 2023)

Zadanie 31 i 32, matura próbna z matematyki podstawowej Grudzień 2022
ROZWIĄZANIA PRÓBNA MATURA GRUDZIEŃ 2022 matematyka