00dni
00godz.
00min
00sek.
⚠️ OSTATNIE DNI PROMOCJI! Od 1 listopada podwyżka cen. To Twoja ostatnia szansa na kurs w tej cenie!Z kursów skorzystało już ? kursantów.

Rozwiązanie matury podstawowej z matematyki – czerwiec 2025

Matura podstawowa
Szkoła średnia
Arkusze
Autor: Kamila z Matematyka Gryzie

Szukasz więcej arkuszy? Wszystkie z poprzednich lat znajdziesz teraz w jednym miejscu:

 👉 Arkusze.gryzie.pl

📢 Rozwiązanie matury podstawowej z matematyki – czerwiec 2025

Przygotowaliśmy dla Was kompletne rozwiązanie arkusza maturalnego z matematyki na poziomie podstawowym z czerwca 2025.

Jeśli chcecie sprawdzić, jak poszło Wam na maturze lub po prostu zobaczyć sposób rozwiązania zadań – zajrzyjcie koniecznie!

A jeśli dopiero przygotowujecie się do egzaminu, mamy coś specjalnego:

🎯 Kurs do matury podstawowej – od zera do pewnych 30% i dalej:

👉 https://gryzie.pl/matura-podstawowa

🚀 Kurs do matury rozszerzonej – dla tych, którzy celują wyżej:

👉 https://gryzie.pl/matura-rozszerzona

Z nami matematyka naprawdę przestaje gryźć! 🧠✨


Pobierz arkusz do rozwiązywania

Podaj swój adres e-mail żeby pobrać arkusz do rozwiązywania

Matura podstawowa czerwiec 2025 zadanie 1, 2 - rozwiązania, odpowiedzi

Matura podstawowa czerwiec 2025 zadanie 3, 4 - rozwiązania, odpowiedzi

Matura podstawowa czerwiec 2025 zadanie 5 - rozwiązania, odpowiedzi

Matura podstawowa czerwiec 2025 zadanie 6, 7 - rozwiązania, odpowiedzi

Matura podstawowa czerwiec 2025 zadanie 8 - rozwiązania, odpowiedzi

Matura podstawowa czerwiec 2025 zadanie 9 - rozwiązania, odpowiedzi

Matura podstawowa czerwiec 2025 zadanie 10 - rozwiązania, odpowiedzi

Matura podstawowa czerwiec 2025 zadanie 11, 12 - rozwiązania, odpowiedzi

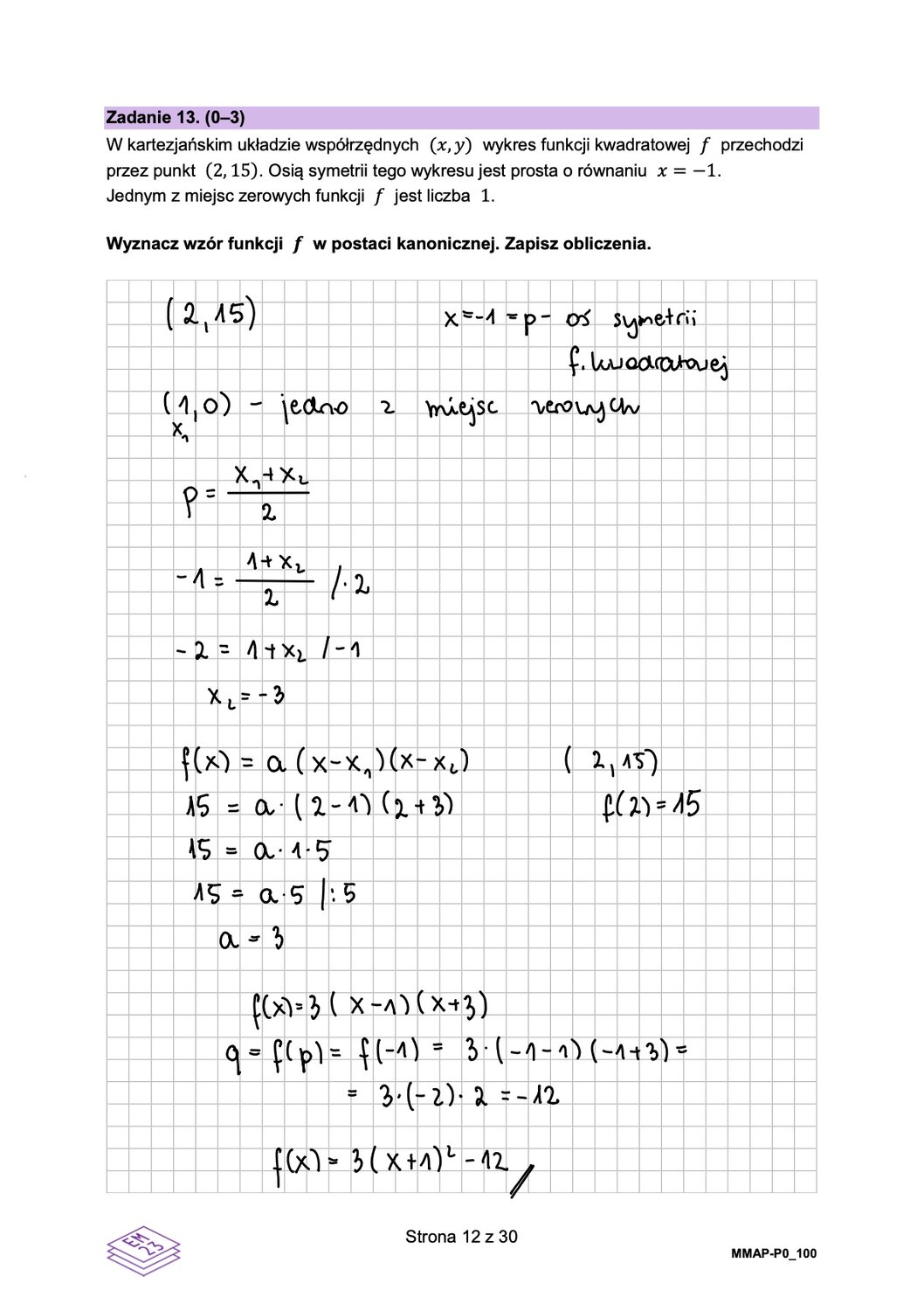
Matura podstawowa czerwiec 2025 zadanie 13 - rozwiązania, odpowiedzi

Matura podstawowa czerwiec 2025 zadanie 14 - rozwiązania, odpowiedzi

Matura podstawowa czerwiec 2025 zadanie 15 - rozwiązania, odpowiedzi

Matura podstawowa czerwiec 2025 zadanie 16, 17 - rozwiązania, odpowiedzi

Matura podstawowa czerwiec 2025 zadanie 18 - rozwiązania, odpowiedzi

Matura podstawowa czerwiec 2025 zadanie 19 - rozwiązania, odpowiedzi

Matura podstawowa czerwiec 2025 zadanie 20 - rozwiązania, odpowiedzi

Matura podstawowa czerwiec 2025 zadanie 21 - rozwiązania, odpowiedzi

Matura podstawowa czerwiec 2025 zadanie 22 - rozwiązania, odpowiedzi

Matura podstawowa czerwiec 2025 zadanie 23 - rozwiązania, odpowiedzi

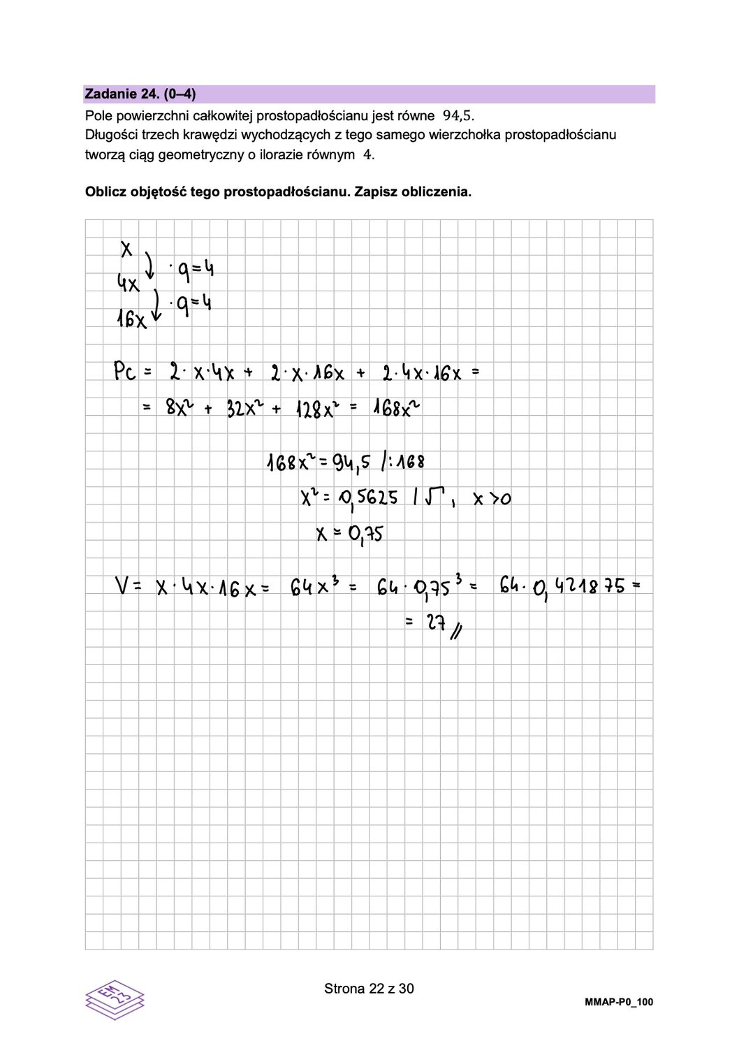
Matura podstawowa czerwiec 2025 zadanie 24 - rozwiązania, odpowiedzi

Matura podstawowa czerwiec 2025 zadanie 25, 26 - rozwiązania, odpowiedzi

Matura podstawowa czerwiec 2025 zadanie 27 - rozwiązania, odpowiedzi

Matura podstawowa czerwiec 2025 zadanie 28, 29 - rozwiązania, odpowiedzi

Matura podstawowa czerwiec 2025 zadanie 30 - rozwiązania, odpowiedzi

Matura podstawowa czerwiec 2025 zadanie 31 - rozwiązania, odpowiedzi

Rozwiązanie matury podstawowej z matematyki – czerwiec 2025