00dni
00godz.
00min
00sek.
⚠️ OSTATNIE DNI PROMOCJI! Od 1 listopada podwyżka cen. To Twoja ostatnia szansa na kurs w tej cenie!Z kursów skorzystało już ? kursantów.

Rozwiązanie matury podstawowej z matematyki – czerwiec 2025 (stara formuła)

Matura podstawowa
Szkoła średnia
Arkusze
Autor: Kamila z Matematyka Gryzie

Szukasz więcej arkuszy? Wszystkie z poprzednich lat znajdziesz teraz w jednym miejscu:

 👉 Arkusze.gryzie.pl

📢 Rozwiązanie matury podstawowej z matematyki – czerwiec 2025 (stara formuła)

Przygotowaliśmy dla Was pełne rozwiązanie matury podstawowej z matematyki w starej formule – czerwiec 2025.

To świetna okazja, żeby sprawdzić swoje odpowiedzi, przeanalizować błędy i zobaczyć, jak poprawnie rozwiązywać zadania.

Jeśli dopiero przygotowujesz się do matury w tej formule – zobacz nasze kursy, które pomogą Ci opanować matematykę krok po kroku:

🎯 Kurs do matury podstawowej:

👉 https://gryzie.pl/matura-podstawowa

🚀 Kurs do matury rozszerzonej:

👉 https://gryzie.pl/matura-rozszerzona

Z nami ogarniesz matematykę, niezależnie od formuły! 📘

Matura podstawowa czerwiec 2025 stara formuła zadanie 1 - rozwiązanie

Pobierz arkusz do rozwiązywania

Podaj swój adres e-mail żeby pobrać arkusz

Matura podstawowa czerwiec 2025 stara formuła zadanie 2 - rozwiązanie

Matura podstawowa czerwiec 2025 stara formuła zadanie 3 - rozwiązanie

Matura podstawowa czerwiec 2025 stara formuła zadanie 4 - rozwiązanie

Matura podstawowa czerwiec 2025 stara formuła zadanie 5 - rozwiązanie

Matura podstawowa czerwiec 2025 stara formuła zadanie 6 - rozwiązanie

Matura podstawowa czerwiec 2025 stara formuła zadanie 7 - rozwiązanie

Matura podstawowa czerwiec 2025 stara formuła zadanie 8 - rozwiązanie

Matura podstawowa czerwiec 2025 stara formuła zadanie 9 - rozwiązanie

Matura podstawowa czerwiec 2025 stara formuła zadanie 10 - rozwiązanie

Matura podstawowa czerwiec 2025 stara formuła zadanie 11 - rozwiązanie

Matura podstawowa czerwiec 2025 stara formuła zadanie 12 - rozwiązanie

Matura podstawowa czerwiec 2025 stara formuła zadanie 13 - rozwiązanie

Matura podstawowa czerwiec 2025 stara formuła zadanie 14 - rozwiązanie

Matura podstawowa czerwiec 2025 stara formuła zadanie 15 - rozwiązanie

Matura podstawowa czerwiec 2025 stara formuła zadanie 16 - rozwiązanie

Matura podstawowa czerwiec 2025 stara formuła zadanie 17 - rozwiązanie

Matura podstawowa czerwiec 2025 stara formuła zadanie 18 - rozwiązanie

Matura podstawowa czerwiec 2025 stara formuła zadanie 19 - rozwiązanie

Matura podstawowa czerwiec 2025 stara formuła zadanie 20 - rozwiązanie

Matura podstawowa czerwiec 2025 stara formuła zadanie 21 - rozwiązanie

Matura podstawowa czerwiec 2025 stara formuła zadanie 22 - rozwiązanie

Matura podstawowa czerwiec 2025 stara formuła zadanie 23 - rozwiązanie

Matura podstawowa czerwiec 2025 stara formuła zadanie 24 - rozwiązanie

Matura podstawowa czerwiec 2025 stara formuła zadanie 25 - rozwiązanie

Matura podstawowa czerwiec 2025 stara formuła zadanie 26 - rozwiązanie

Matura podstawowa czerwiec 2025 stara formuła zadanie 27 - rozwiązanie

Matura podstawowa czerwiec 2025 stara formuła zadanie 28 - rozwiązanie

Matura podstawowa czerwiec 2025 stara formuła zadanie 29 - rozwiązanie

Matura podstawowa czerwiec 2025 stara formuła zadanie 30 - rozwiązanie

Matura podstawowa czerwiec 2025 stara formuła zadanie 31 - rozwiązanie

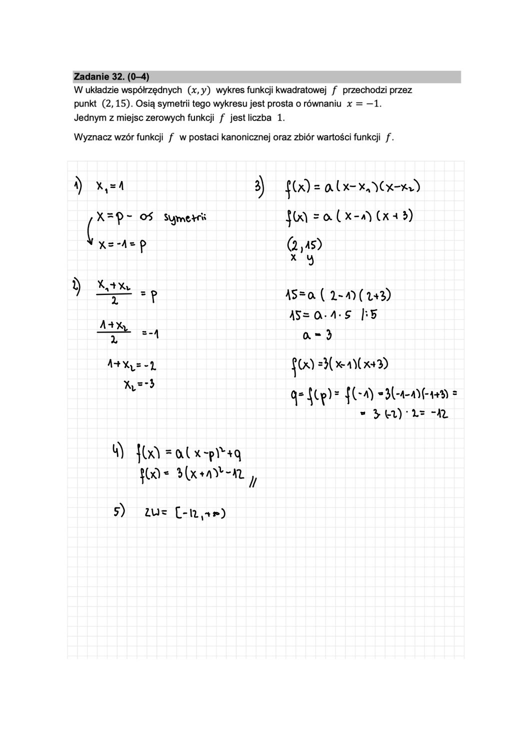
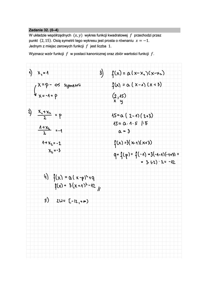
Matura podstawowa czerwiec 2025 stara formuła zadanie 32 - rozwiązanie

Matura podstawowa czerwiec 2025 stara formuła zadanie 33 - rozwiązanie

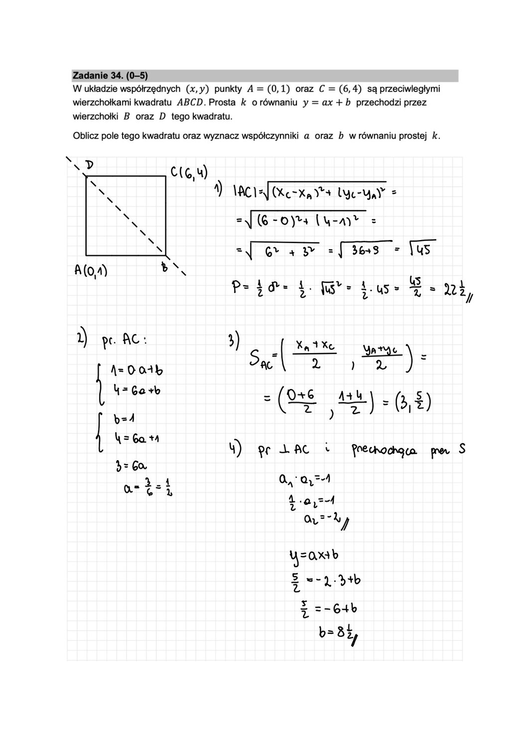
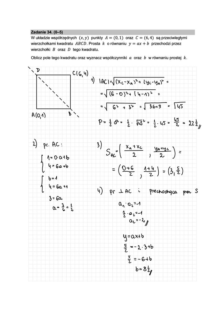
Matura podstawowa czerwiec 2025 stara formuła zadanie 34 - rozwiązanie

Rozwiązanie matury podstawowej z matematyki – czerwiec 2025 (stara formuła)