00dni
00godz.
00min
00sek.
⚠️ OSTATNIE DNI PROMOCJI! Od 1 listopada podwyżka cen. To Twoja ostatnia szansa na kurs w tej cenie!Z kursów skorzystało już ? kursantów.

Rozwiązania nowej matury rozszerzonej z matematyki 2023

Matura rozszerzona
Arkusze
Autor: Kamila z Matematyka Gryzie

Szukasz więcej arkuszy? Wszystkie z poprzednich lat znajdziesz teraz w jednym miejscu:

 👉 Arkusze.gryzie.pl

Z pewnością zdawanie matury rozszerzonej z matematyki to ważny moment w życiu każdego ucznia. Jednak nie należy się obawiać! W dzisiejszym artykule prezentujemy rozwiązania zadań z matury rozszerzonej 2023 dla nowej formuły, które pomogą uczniom w lepszym zrozumieniu i opanowaniu materiału.

Zadanie 1.

nowa matura 2023 zadanie 1

Zadanie 2.

Nowa matura zadanie 2

Zadanie 3.

Nowa matura zadanie 3

Zadanie 4.

Nowa matura zadanie 4

Zadanie 5.

Nowa matura zadanie 5

Zadanie 6.

Nowa matura zadanie 6

Zadanie 7.

Nowa matura zadanie 7

Zadanie 8.

Nowa matura zadanie 8

Zadanie 9.

Nowa matura zadanie 9

Zadanie 10.

Nowa matura zadanie 10

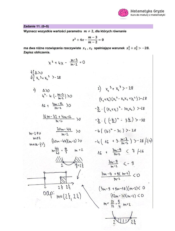
Zadanie 11.

Nowa matura zadanie 11

Zadanie 12.

Nowa matura zadanie 12
Nowa matura zadanie 12.2

Zadanie 13.

Nowa matura zadanie 13

Pobierz moje tablice

Podaj email aby pobrać tablice do matury uzupełnione o brakujące wzory w pdf

matematyka gryzie
Rozwiązania nowej matury rozszerzonej z matematyki 2023