00dni
00godz.
00min
00sek.
⚠️ OSTATNIE DNI PROMOCJI! Od 1 listopada podwyżka cen. To Twoja ostatnia szansa na kurs w tej cenie!Z kursów skorzystało już ? kursantów.

Obliczanie całek ze wzorów

Autor: Kamila z Matematyka Gryzie

Cześć! 🙋🏼‍♀️

Powtórzymy dziś wszystkie najważniejsze informacje, o tym jak obliczać całki ze wzorów. Poniżej znajdziesz zadania z rozwiązaniami z tego tematu. Pamiętaj, że cały mój kurs zawiera interaktywne zadania i filmy, które z pewnością przygotują Cię do każdego kolokwium czy egzaminu.

🚨Kliknij w link i przekonaj się sam! https://app.matematykagryzie.pl/

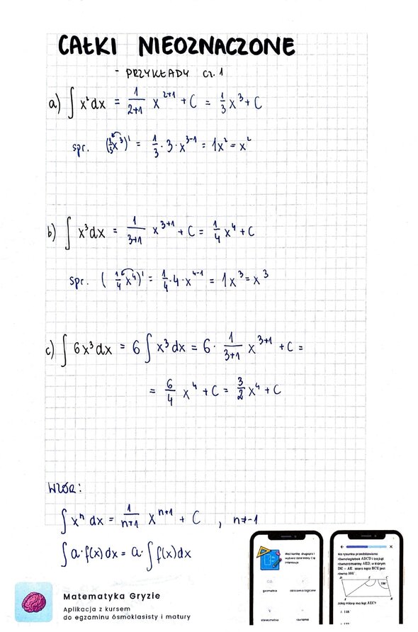
Całki nieoznaczone - przykład 1

Całki nieoznaczone - przykłady cz. 1

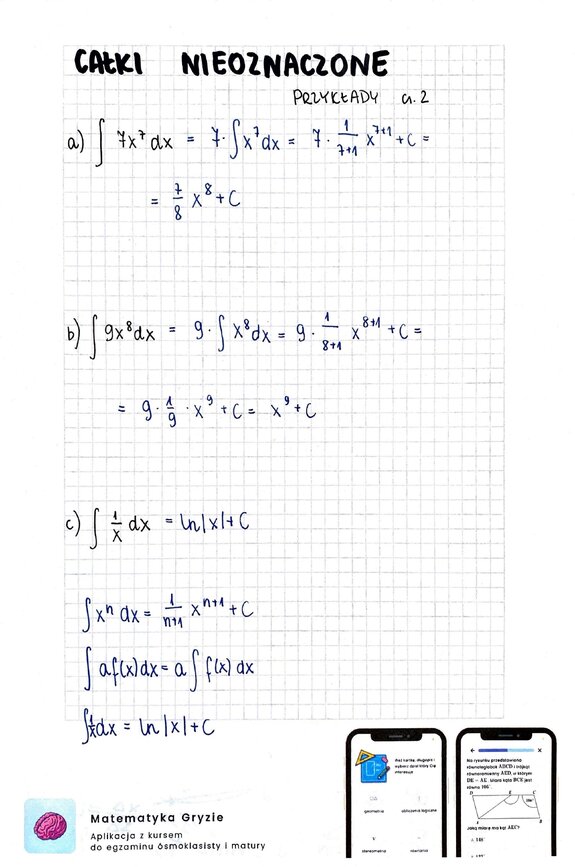
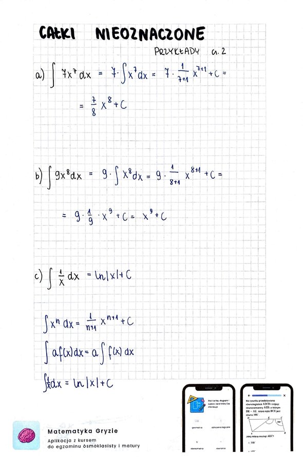
Całki nieoznaczone - przykład 2

Całki nieoznaczone - przykłady cz. 2

Całki nieoznaczone - przykład 3

Całki nieoznaczone - przykłady cz. 3

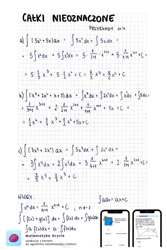
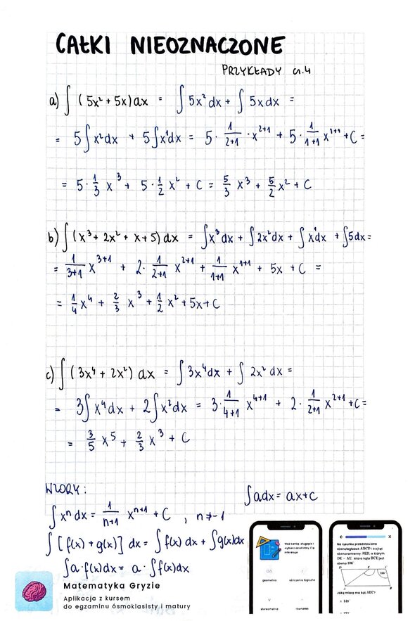
Całki nieoznaczone - przykład 4

Całki nieoznaczone - przykłady cz. 4

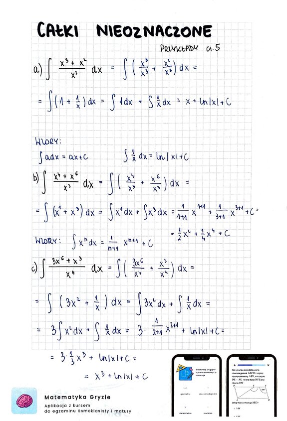
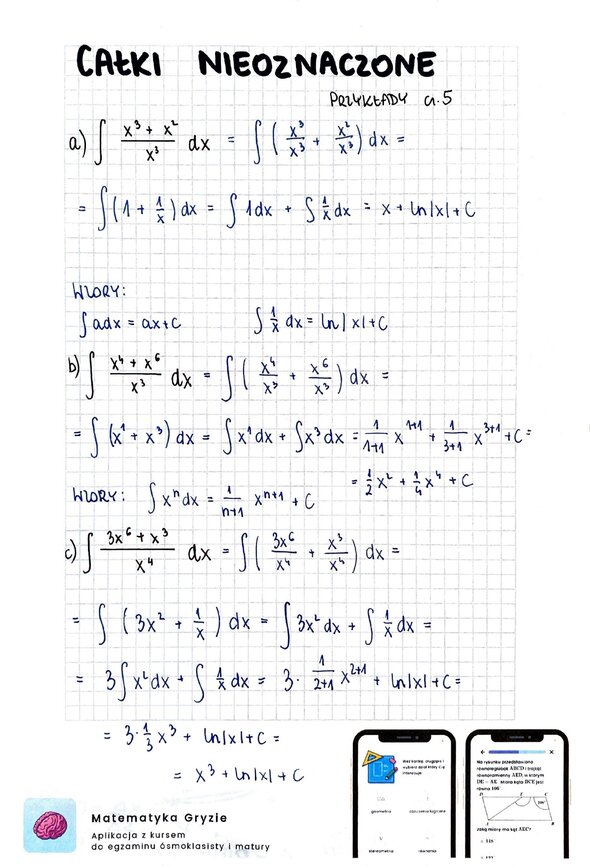
Całki nieoznaczone - przykład 5

Całki nieoznaczone - przykłady cz. 5

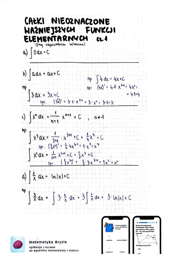
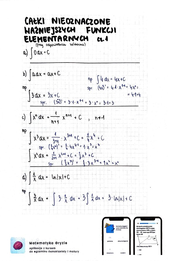
Całki nieoznaczone ważniejszych funkcji elementarnych cz. 1

Całki nieoznaczone ważniejszych funkcji elementarnych cz. 1

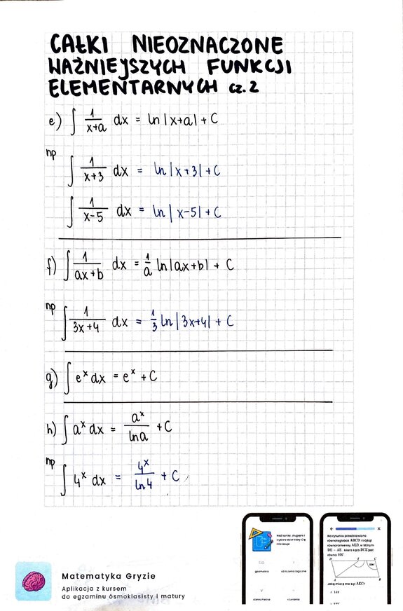
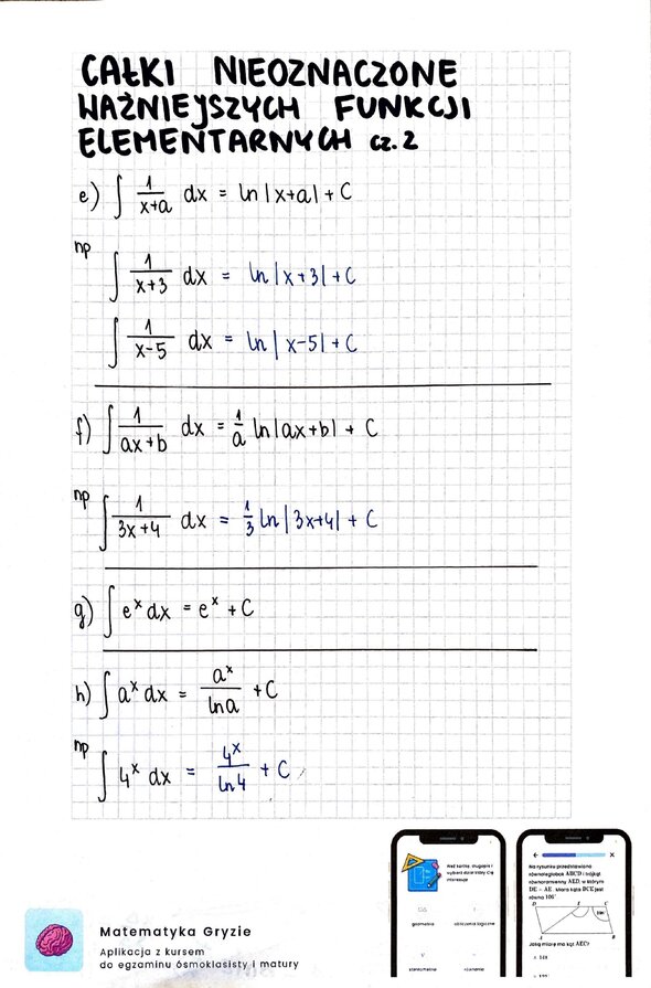
Całki nieoznaczone ważniejszych funkcji elementarnych cz. 2

Całki nieoznaczone ważniejszych funkcji elementarnych cz. 2

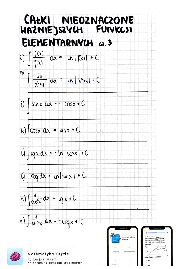
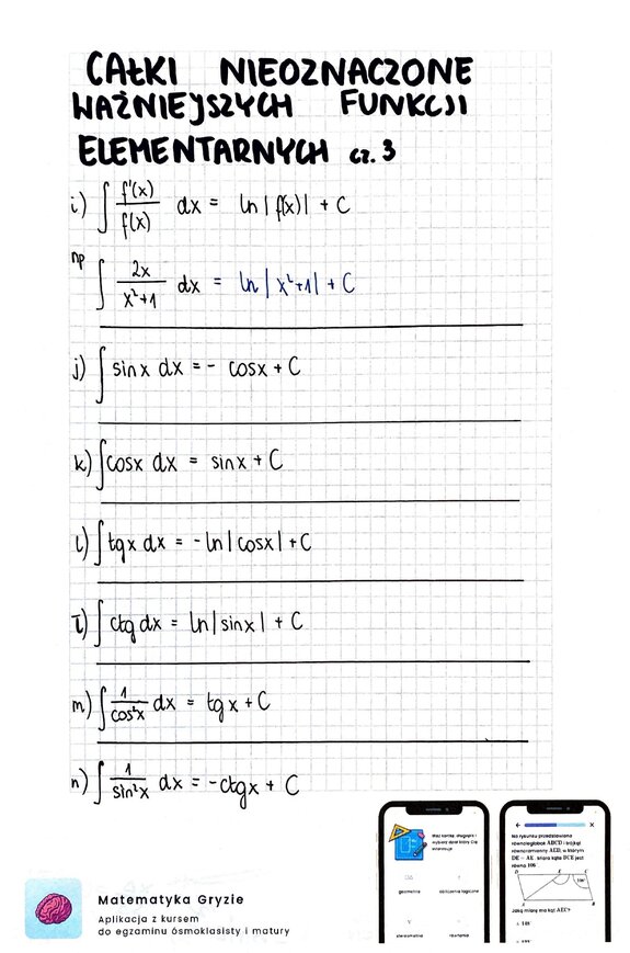
Całki nieoznaczone ważniejszych funkcji elementarnych cz. 3

Całki nieoznaczone ważniejszych funkcji elementarnych cz. 3

Całki nieoznaczone ważniejszych funkcji elementarnych cz. 4

Całki nieoznaczone ważniejszych funkcji elementarnych cz. 4

✨ Filmy z pozostałych tematów znajdziesz tutaj klik


✨ Mój pełny interaktywny kurs zastępujący korepetycje klik

Obliczanie całek ze wzorów