Hej! 🙋🏼♀️
Niektóre typy zadań na maturze z matematyki są powtarzalne i tak właśnie jest z zadaniami z potęg i pierwiastków.
Trzymam kciuki, aby na maturze w tym roku również ten typ zadań się pojawił. :)
Zaczniemy od prostych zadań wprowadzających krok po kroku od zera a później przejdziemy do zadań maturalnych z potęg i pierwiastków.
Koniecznie pobierz PDF do druku z zadaniami i rozwiąż je z filmem, który znajdziesz poniżej! 🤓Potęgi i pierwiastki - zadania maturalne i wprowadzenie od zera
Podaj e-mail i pobierz te zadania
Koniecznie obejrzyj film z rozwiązaniem do zadań ⤵️
⬇️ Sprawdź moje pełne kursy ⬇️
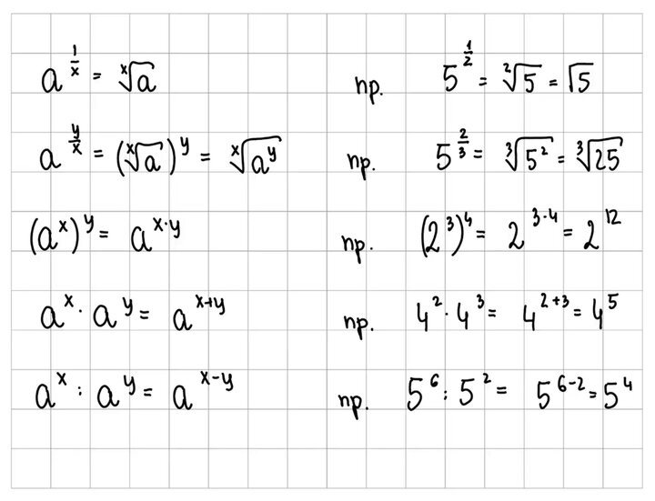
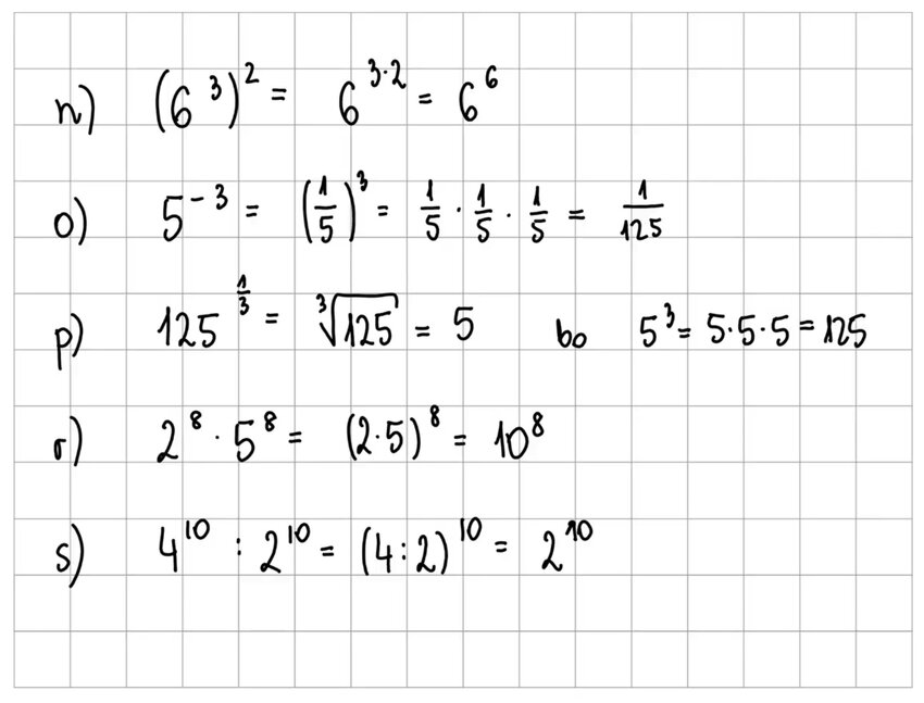
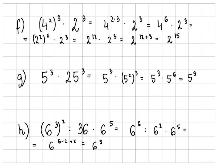
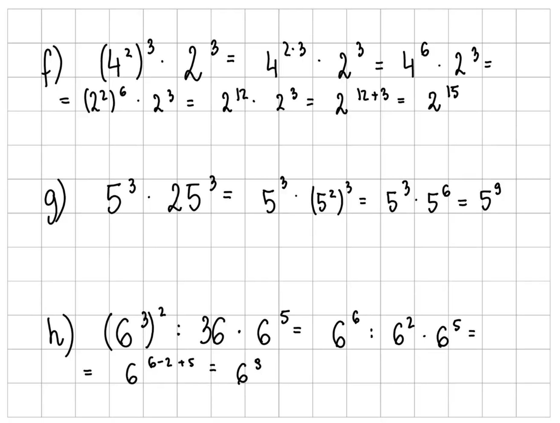
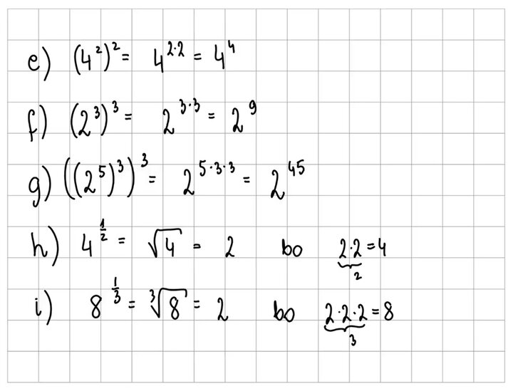
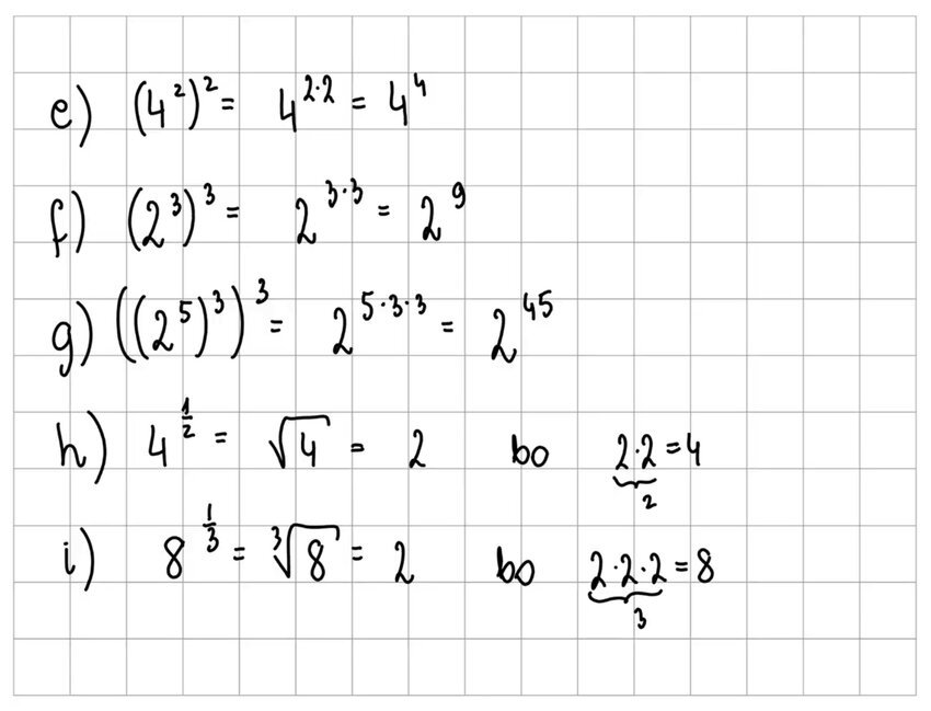
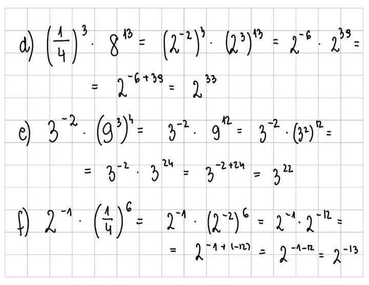
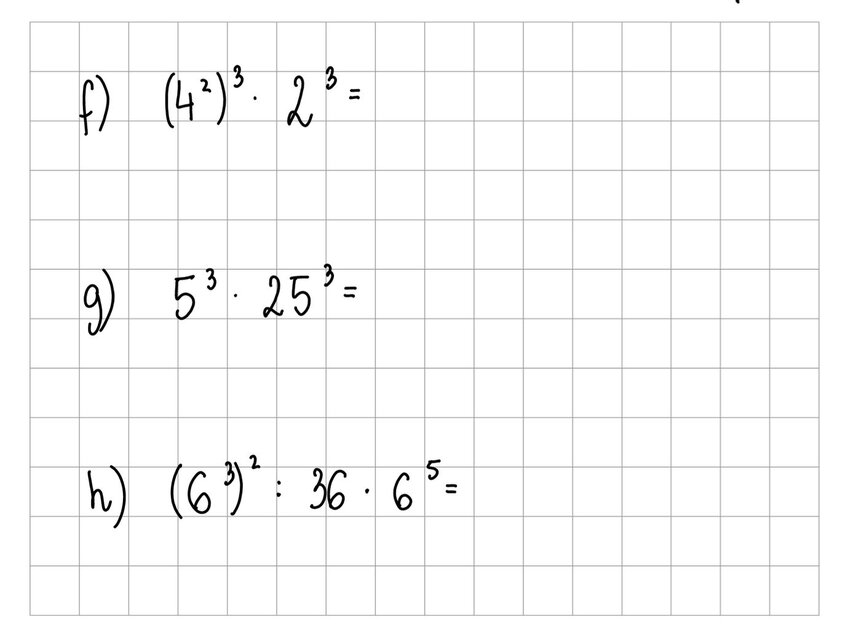
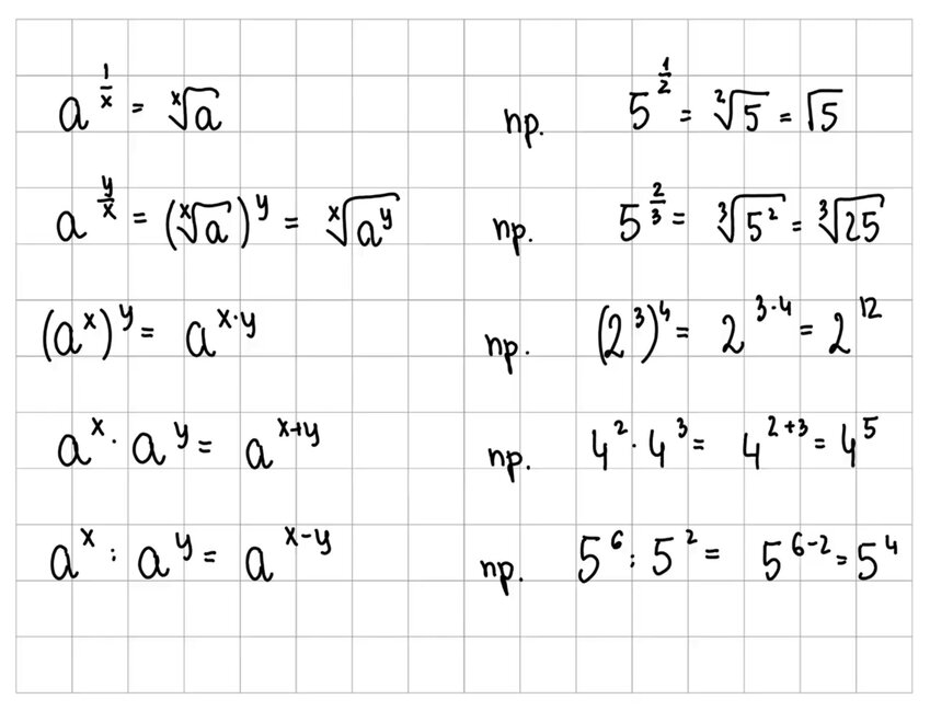
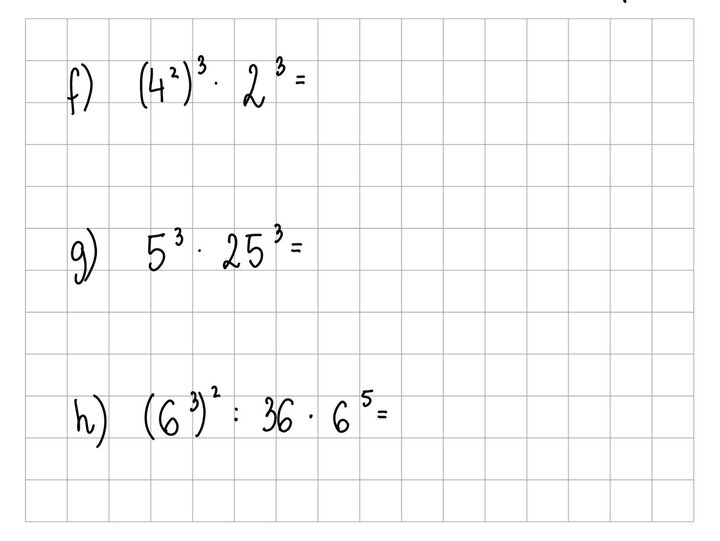
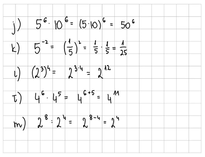
Potęgi - wprowadzenie od zera - strona 1
Potęgi - wprowadzenie od zera - strona 1 - rozwiązania
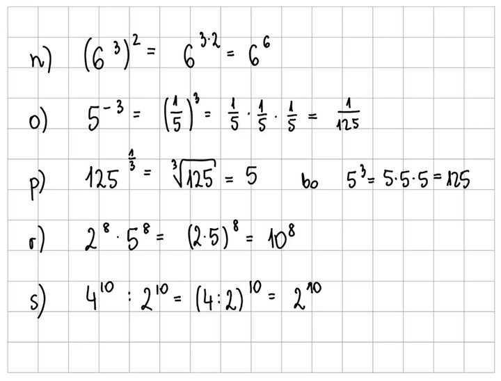
Potęgi - wprowadzenie od zera - strona 2
Potęgi - wprowadzenie od zera - strona 2 - rozwiązania
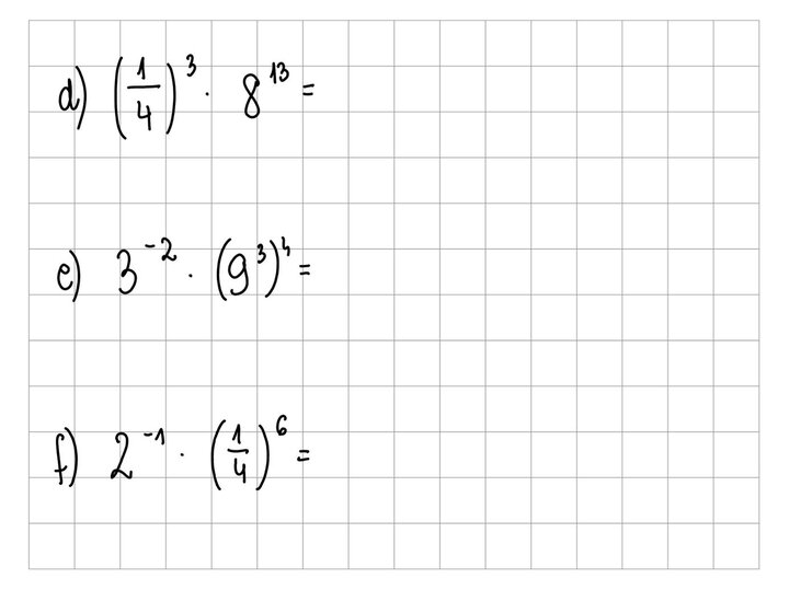
Potęgi - wprowadzenie od zera - strona 3
Potęgi - wprowadzenie od zera - strona 3 - rozwiązania
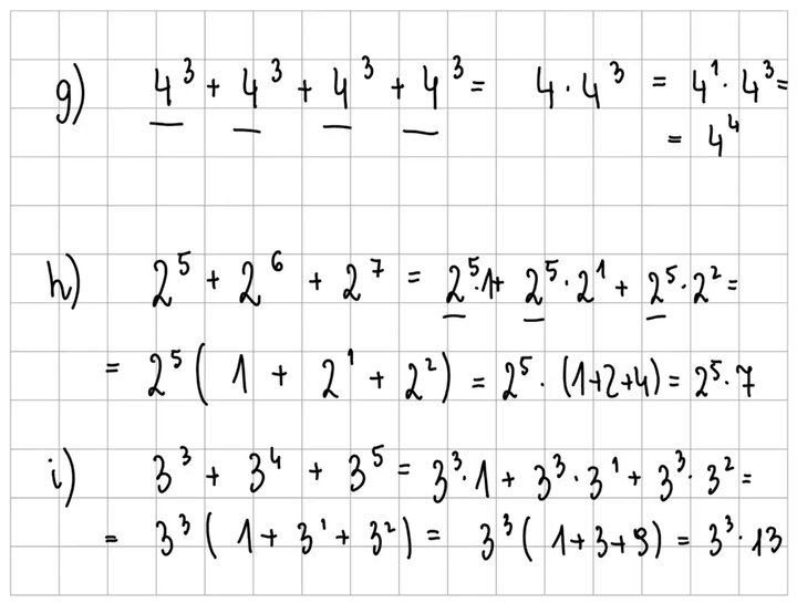
Potęgi - wprowadzenie od zera - strona 4
Potęgi - wprowadzenie od zera - strona 4 - rozwiązania
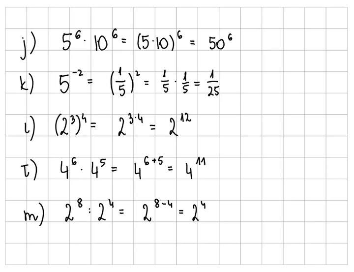
Potęgi - wprowadzenie od zera - strona 5
Potęgi - wprowadzenie od zera - strona 5 - rozwiązania
Potęgi - wprowadzenie od zera - strona 6
Potęgi - wprowadzenie od zera - strona 6 - rozwiązania
Potęgi - wprowadzenie od zera - strona 7
Potęgi - wprowadzenie od zera - strona 7 - rozwiązania
Potęgi - wprowadzenie od zera - strona 8
Potęgi - wprowadzenie od zera - strona 8 - rozwiązania
Potęgi - wprowadzenie od zera - strona 9
Potęgi - wprowadzenie od zera - strona 9 - rozwiązania
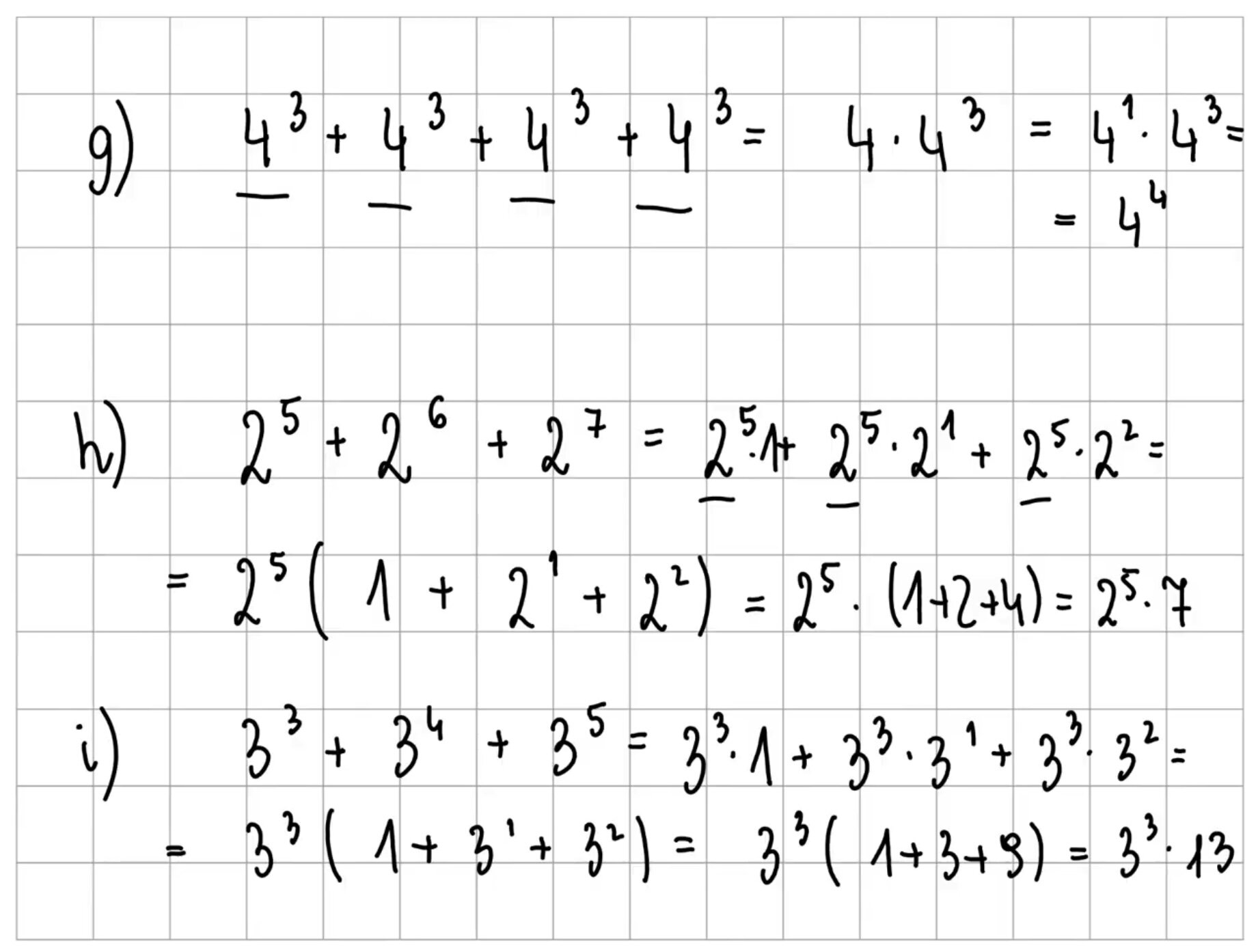
Potęgi - wprowadzenie od zera - strona 10
Potęgi - wprowadzenie od zera - strona 10 - rozwiązania
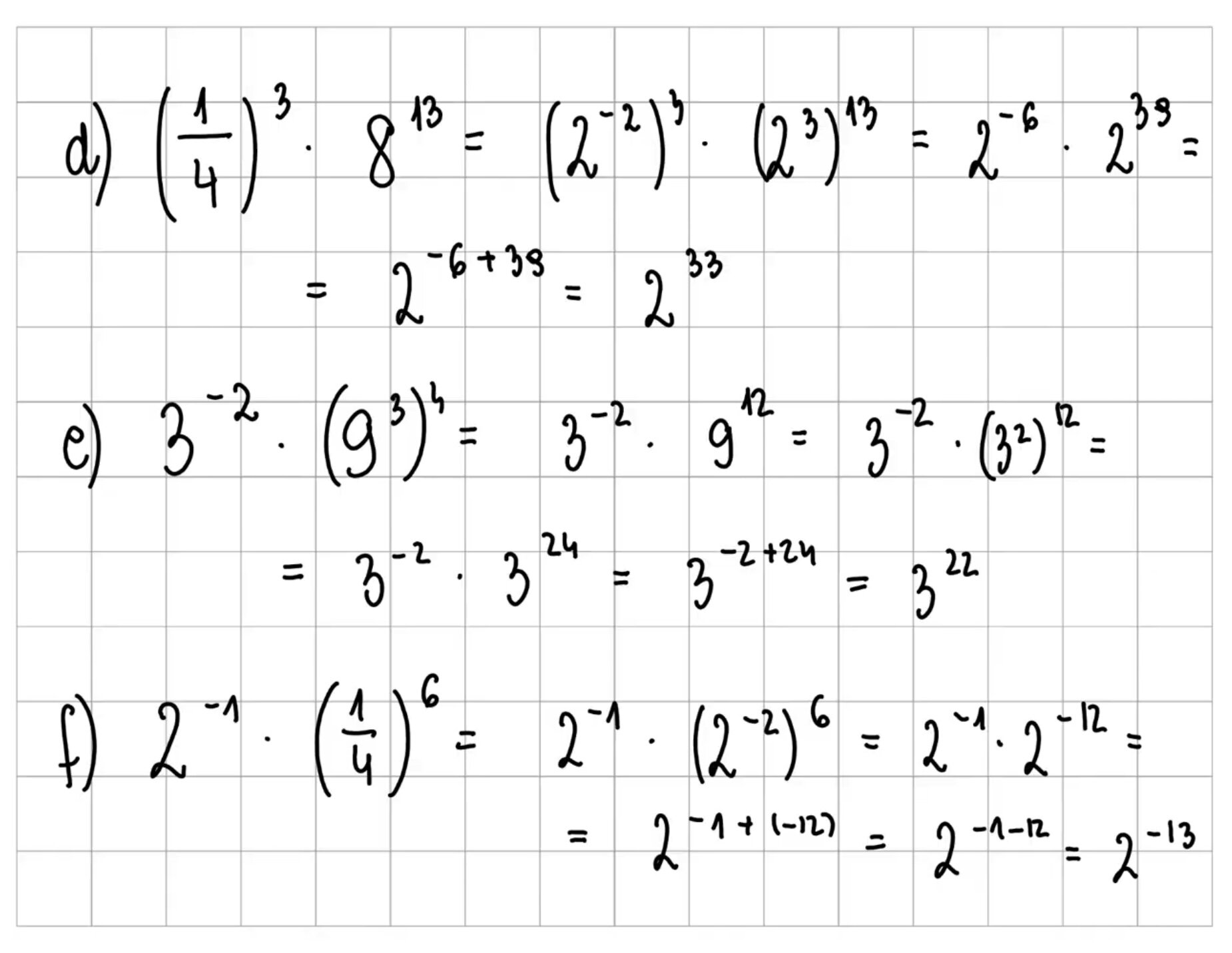
Potęgi - wprowadzenie od zera - strona 11
Potęgi - wprowadzenie od zera - strona 11 - rozwiązania
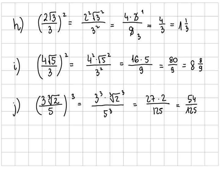
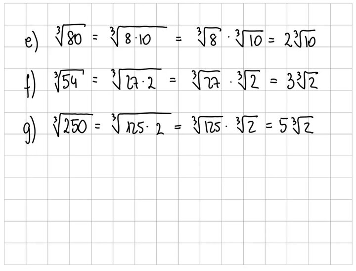
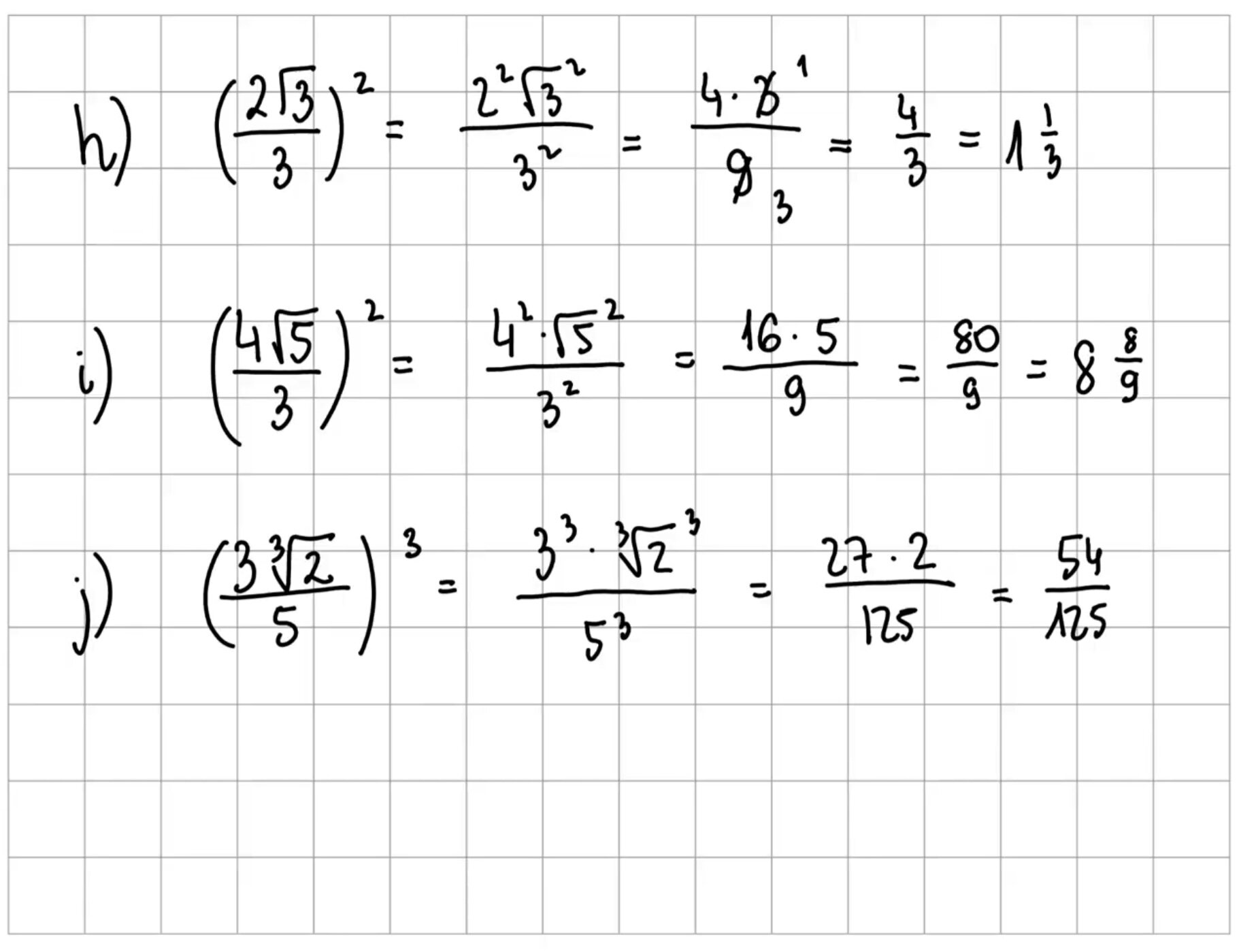
Pierwiastki - wprowadzenie od zera - strona 1
Pierwiastki - wprowadzenie od zera - strona 1 - rozwiązania
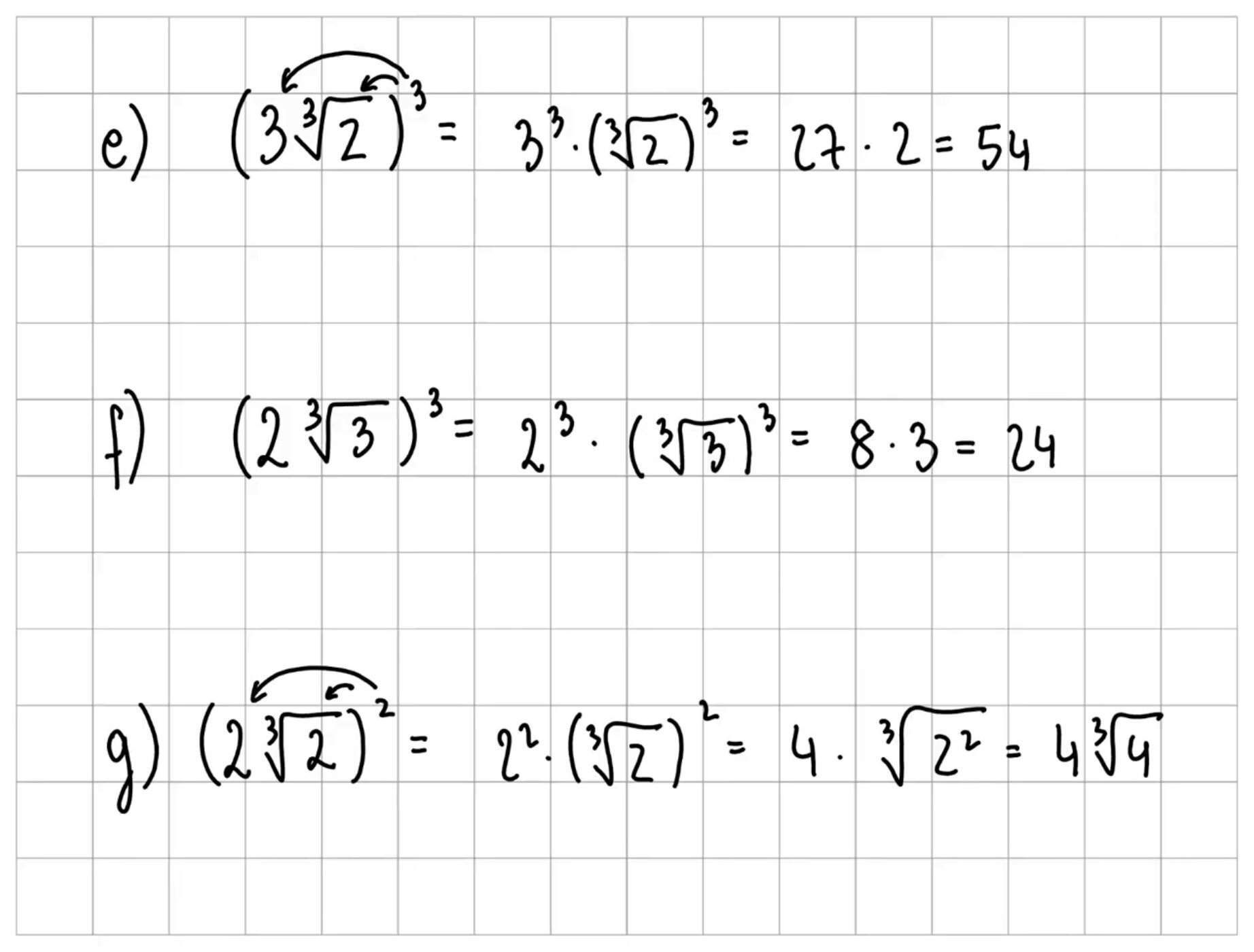
Pierwiastki - wprowadzenie od zera - strona 2
Pierwiastki - wprowadzenie od zera - strona 2 - rozwiązania
Pierwiastki - wprowadzenie od zera - strona 3
Pierwiastki - wprowadzenie od zera - strona 3 - rozwiązania
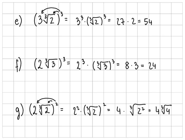
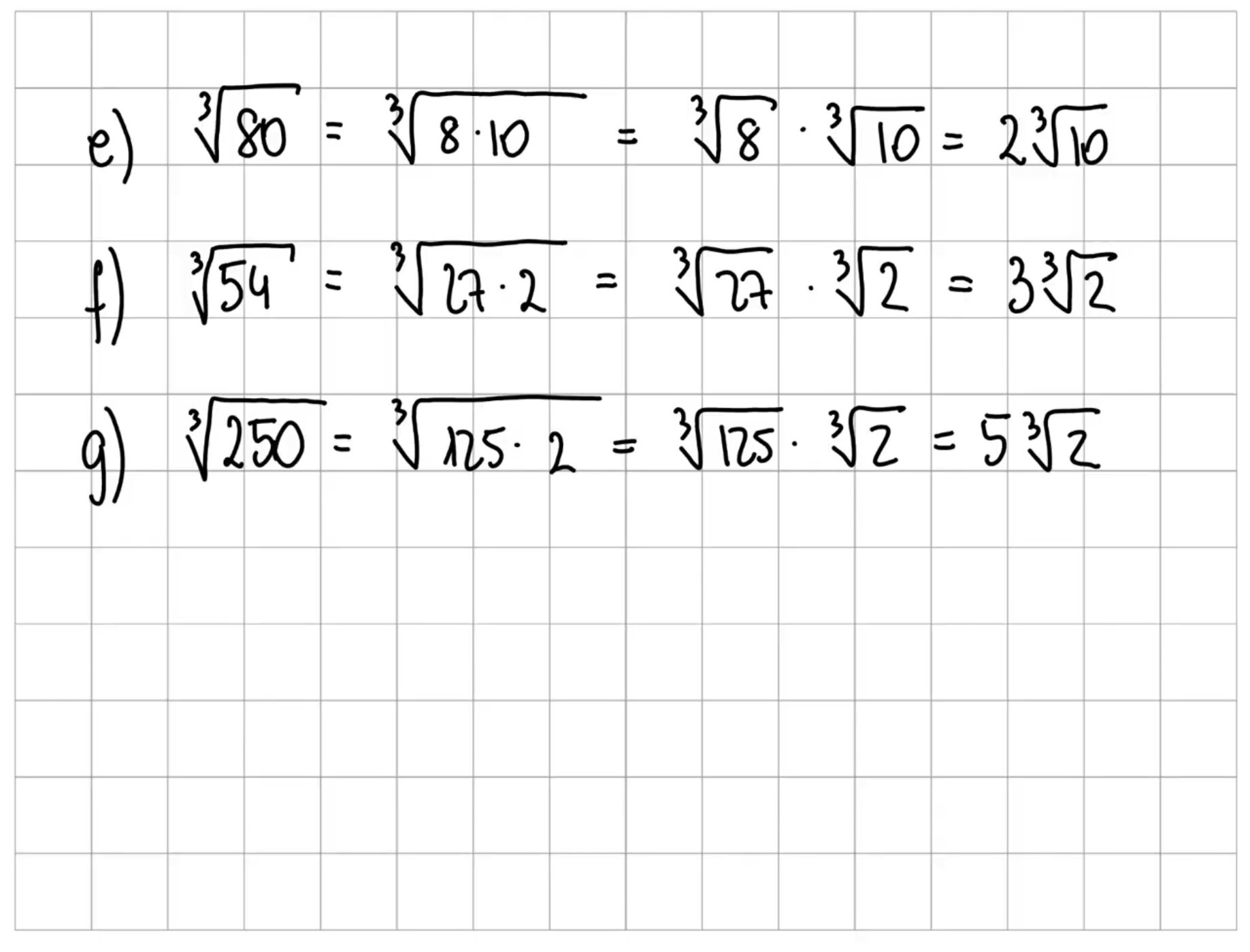
Pierwiastki - wprowadzenie od zera - strona 4
Pierwiastki - wprowadzenie od zera - strona 4 - rozwiązania
Pierwiastki - wprowadzenie od zera - strona 5
Pierwiastki - wprowadzenie od zera - strona 5 - rozwiązania
Pierwiastki - wprowadzenie od zera - strona 6
Pierwiastki - wprowadzenie od zera - strona 6 - rozwiązania
Pierwiastki - wprowadzenie od zera - strona 7
Pierwiastki - wprowadzenie od zera - strona 7 - rozwiązania
Pierwiastki - wprowadzenie od zera - strona 8
Pierwiastki - wprowadzenie od zera - strona 8 - rozwiązania
Pierwiastki - wprowadzenie od zera - strona 9
Pierwiastki - wprowadzenie od zera - strona 9 - rozwiązania
Pierwiastki - wprowadzenie od zera - strona 10
Pierwiastki - wprowadzenie od zera - strona 10 - rozwiązania
Pierwiastki - wprowadzenie od zera - strona 11
Pierwiastki - wprowadzenie od zera - strona 11 - rozwiązania
Pierwiastki - wprowadzenie od zera - strona 12
Pierwiastki - wprowadzenie od zera - strona 12 - rozwiązania
Pierwiastki - wprowadzenie od zera - strona 13
Pierwiastki - wprowadzenie od zera - strona 13 - rozwiązania
Pierwiastki - wprowadzenie od zera - strona 14
Pierwiastki - wprowadzenie od zera - strona 14 - rozwiązania
Potęgi - zadania maturalne - strona 1
Potęgi - zadania maturalne - strona 1 - rozwiązanie
Potęgi - zadania maturalne - strona 2
Potęgi - zadania maturalne - strona 2 - rozwiązanie
Pierwiastki - zadania maturalne - strona 3
Pierwiastki - zadania maturalne - strona 3 - rozwiązanie
Pierwiastki - zadania maturalne - strona 4
Pierwiastki - zadania maturalne - strona 4 - rozwiązanie
Pierwiastki - zadania maturalne - strona 5
Pierwiastki - zadania maturalne - strona 5 - rozwiązanie
Potęgi - zadania maturalne - strona 6
Potęgi - zadania maturalne - strona 6 - rozwiązanie
Potęgi - zadania maturalne - strona 7
Potęgi - zadania maturalne - strona 7 - rozwiązanie
Potęgi - zadania maturalne - strona 8
Potęgi - zadania maturalne - strona 8 - rozwiązanie
Potęgi - zadania maturalne - strona 9
Potęgi - zadania maturalne - strona 9 - rozwiązanie
Potęgi - zadania maturalne - strona 10
Potęgi - zadania maturalne - strona 10 - rozwiązanie
Potęgi i pierwiastki - zadania maturalne - strona 11
Potęgi i pierwiastki - zadania maturalne - strona 11 - rozwiązanie
