Szukasz więcej arkuszy? Wszystkie z poprzednich lat znajdziesz teraz w jednym miejscu:
Już po maturach, ale zapewne chcecie wiedzieć jak wam poszło? Przygotowaliśmy specjalnie dla Was arkusz z odpowiedziami do każdego zadania 🔍
PS. Jeśli bylibyście zainteresowani pobraniem tego i innych arkuszy maturalnych z matematyki, to możecie to zrobić na stronie matematykagryzie.pl/arkusze/matura-podstawowa 🥰
Jeśli chcesz zobaczyć wszystkie arkusze do matury podstawowej z każdego przedmiotu to są na stronie naukagryzie.pl/arkusze/matura-podstawowa 😊
Zadanie 1.
Zadanie 2.
Zadanie 3.
Zadanie 4.
Zadanie 5.
Zadanie 6.
Zadanie 7.
Zadanie 8.
Zadanie 9.
Zadanie 10.
Informacja do zadań 11.-13.
Zadanie 11.
Zadanie 12.
Zadanie 13.
Zadanie 14.
Zadanie 15.
Zadanie 16.
Zadanie 17.
Zadanie 18.
Zadanie 19.
Zadanie 20.
Zadanie 21.
Zadanie 22.
Zadanie 23.
Zadanie 24.
Zadanie 25.
Zadanie 26.
Zadanie 27.
Zadanie 28.
Zadanie 29.
Zadanie 30.
Zadanie 31.
Zadanie 32.
Zadanie 33.
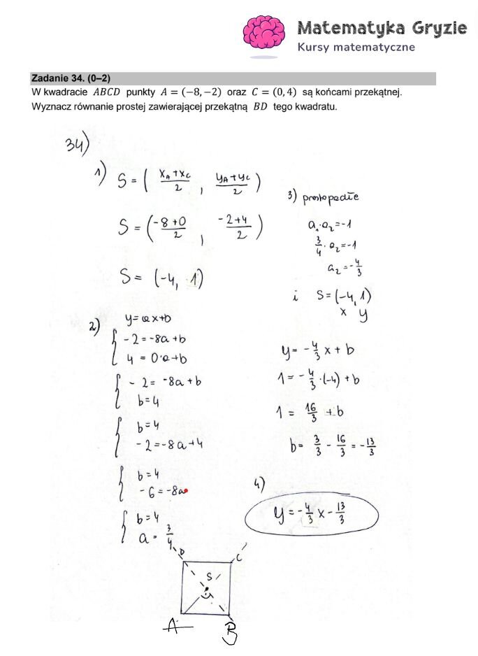
Zadanie 34.
Zadanie 35.
Zadanie 36.