00dni
00godz.
00min
00sek.
⚠️ OSTATNIE DNI PROMOCJI! Od 1 listopada podwyżka cen. To Twoja ostatnia szansa na kurs w tej cenie!Z kursów skorzystało już ? kursantów.

Stare tablice maturalne + dopisane wzory

Matura rozszerzona
Matura podstawowa
Tablice
Autor: Kamila z Matematyka Gryzie

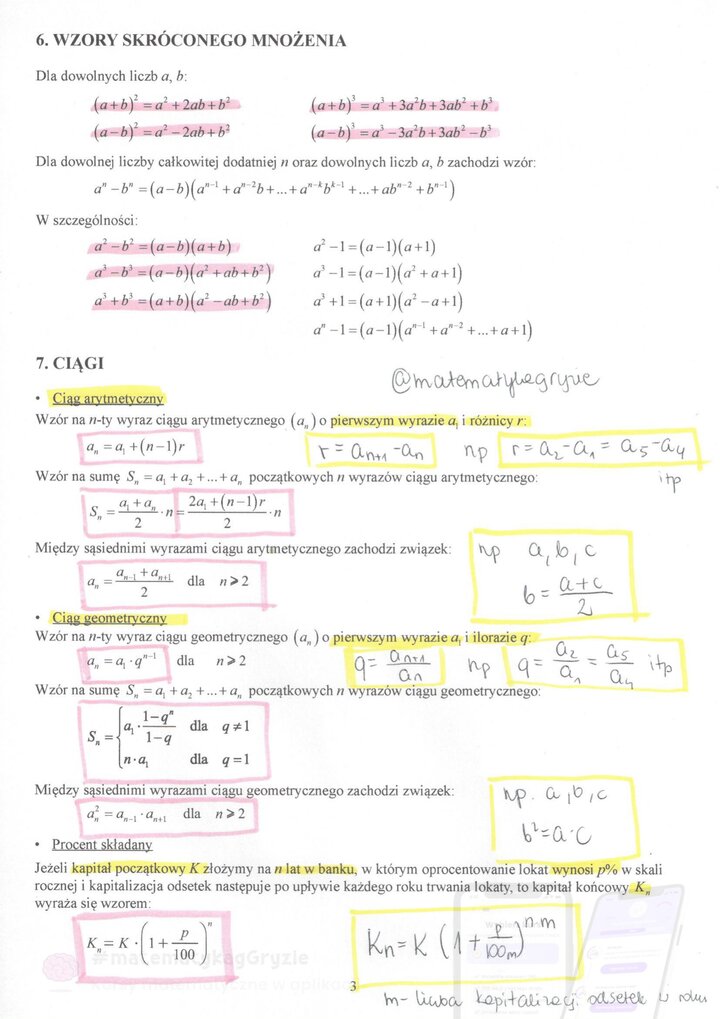
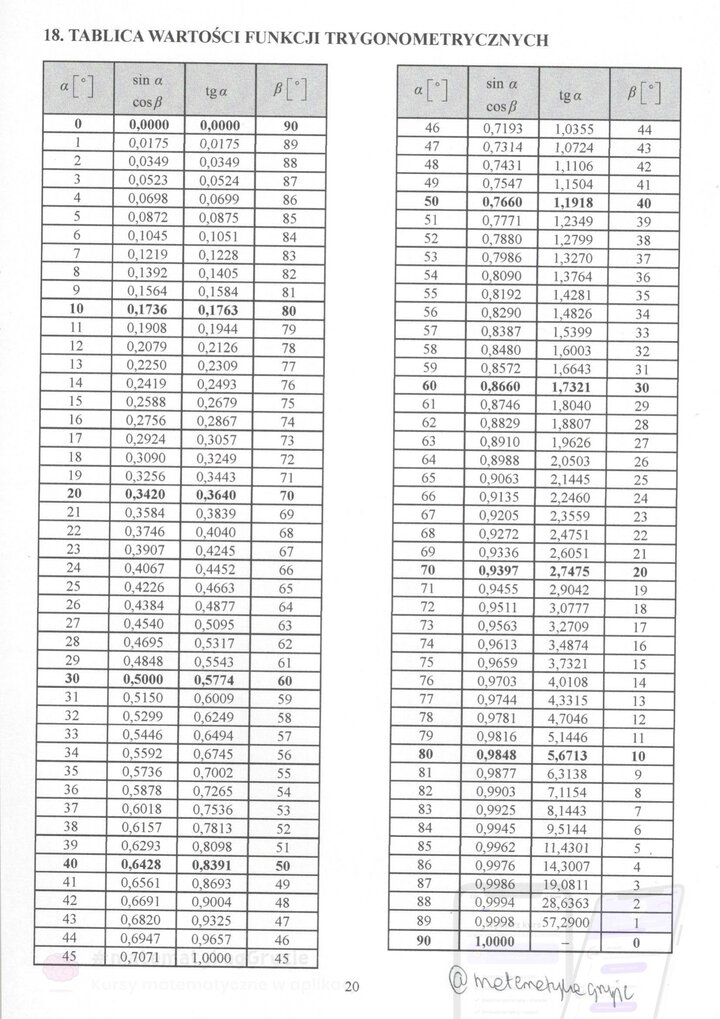
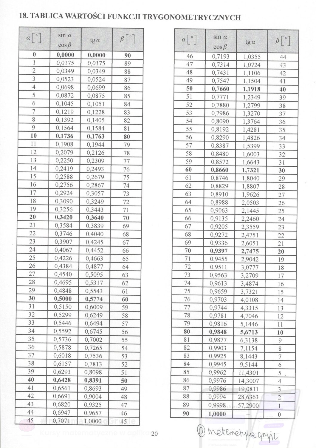
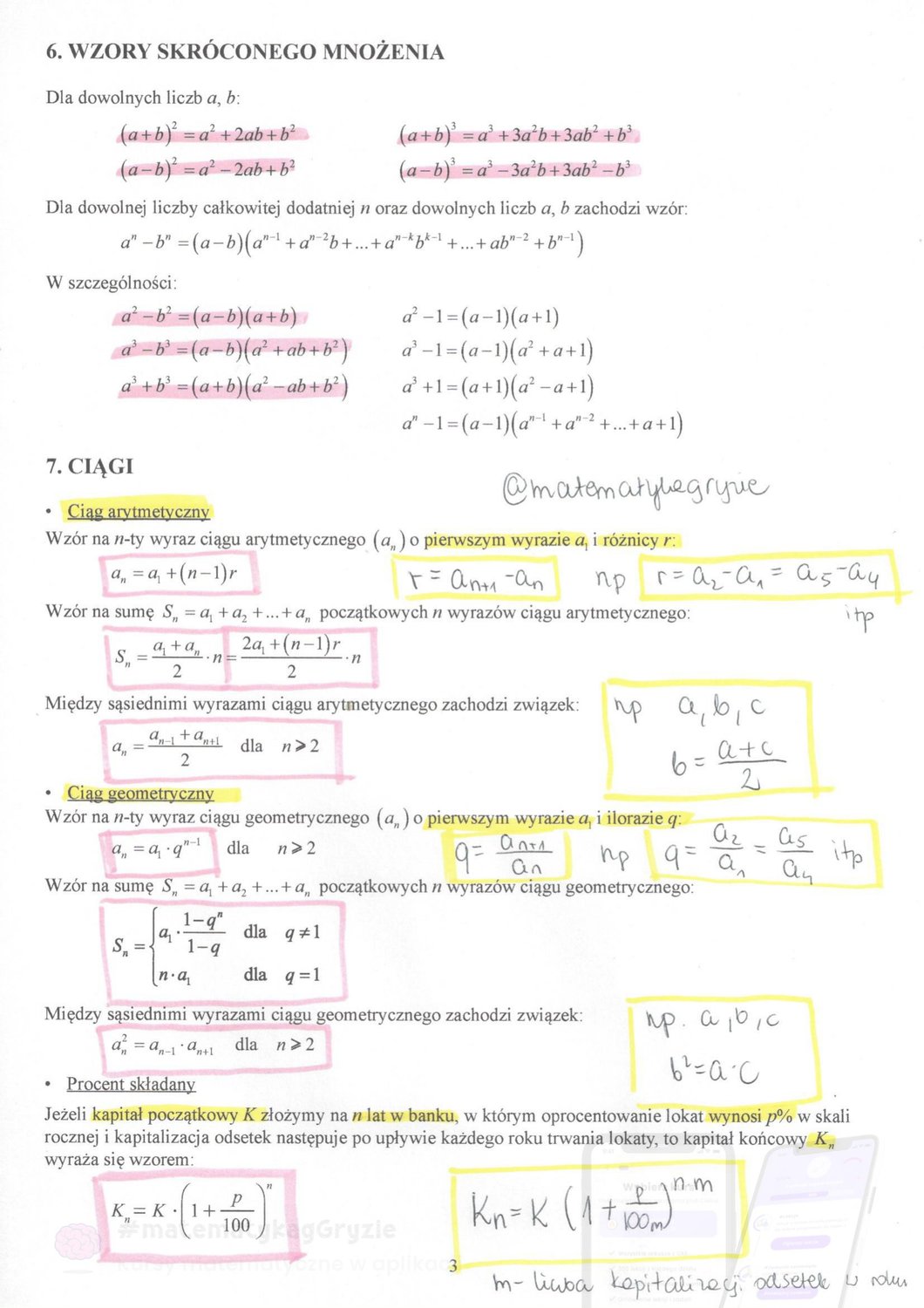
Poniżej przedstawiamy tablice maturalne z kompletnymi wzorami dla wszystkich uczniów!

Wierzymy, że udostępnienie kompletnych tablic maturalnych z dopisanymi brakującymi wzorami pomoże Wam w efektywnym przygotowaniu się do egzaminu. Mamy nadzieję, że te tablice staną się dla Was cennym narzędziem w nauce i pozwolą osiągnąć wspaniałe wyniki na egzaminie maturalnym.

Życzymy powodzenia i sukcesów na egzaminie maturalnym!


Pobierz te tablice

Podaj email aby pobrać tablice do matury uzupełnione o brakujące wzory w pdf

stare tablice maturalne
stare tablice maturalne
stare tablice maturalne
stare tablice maturalne
stare tablice maturalne
stare tablice maturalne
stare tablice maturalne
stare tablice maturalne
stare tablice maturalne
stare tablice maturalne
stare tablice maturalne
stare tablice maturalne
stare tablice maturalne
stare tablice maturalne
stare tablice maturalne
stare tablice maturalne
stare tablice maturalne
stare tablice maturalne
stare tablice maturalne
stare tablice maturalne
matematyka gryzie
Stare tablice maturalne + dopisane wzory