00dni
00godz.
00min
00sek.
⚠️ OSTATNIE DNI PROMOCJI! Od 1 listopada podwyżka cen. To Twoja ostatnia szansa na kurs w tej cenie!Z kursów skorzystało już ? kursantów.

Język matematyki - przykładowy sprawdzian poziom podstawowy - Nowa Era

Matura podstawowa
Szkoła średnia
Sprawdziany
Autor: Kamila z Matematyka Gryzie

Hej! 🙋🏼‍♀️

Dzisiaj przygotowałam dla Ciebie film, w którym przerobimy najważniejsze typy zadań na sprawdzian - Nowa Era - język matematyki ⤵️

Pamiętaj jednak, że cała wiedza, którą powinieneś posiadać jest zawarta w moich pełnych kursach, w których każdy dział znajdziesz wytłumaczony krok po kroku od zera.

Niezależnie od tego na jakim poziomie matematyki jesteś - ze mną każdy znajdzie coś dla siebie! 🥰

Koniecznie pobierz PDF do druku z zadaniami i rozwiąż je z filmem, który znajdziesz poniżej🤓

Przykładowy sprawdzian Nowa Era poziom podstawowy - język matematyki - zadania do druku PDF

Podaj e-mail i pobierz te zadania

Koniecznie obejrzyj film z rozwiązaniem do zadań ⤵️

⬇️ Kliknij i sprawdź moje pełne kursy ⬇️

👉🏼 Kurs do klasy 4

👉🏼 Kurs do klasy 5

👉🏼 Kurs do klasy 6

👉🏼 Kurs do klasy 7

👉🏼 Kurs do egzaminu ósmoklasisty

👉🏼 Kurs do szkoły średniej

👉🏼 Kurs do matury podstawowej

👉🏼 Kurs do matury rozszerzonej 
Język matematyki - przykładowy sprawdzian poziom podstawowy Nowa Era - cz. 1
Zadania na sprawdzian Nowa Era - Język matematyki
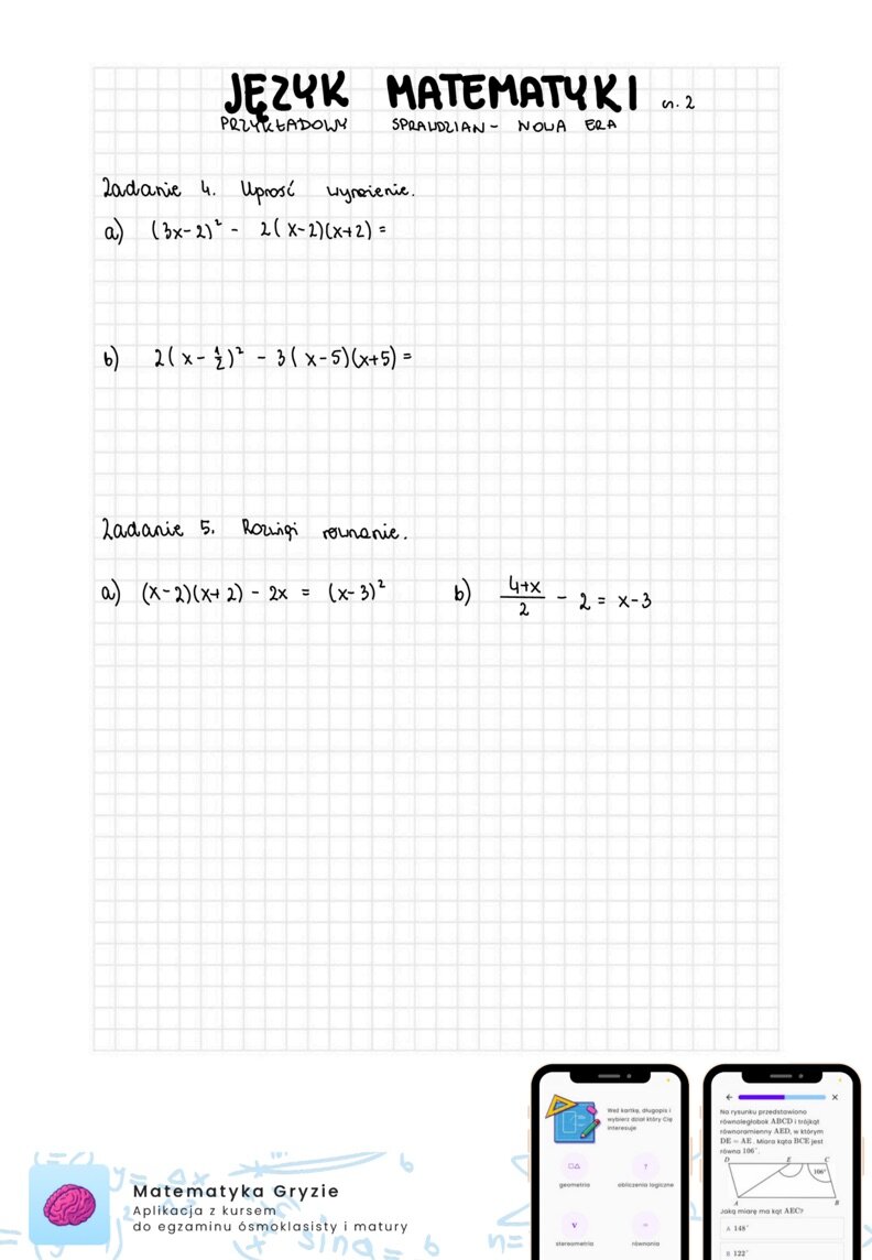
Język matematyki - przykładowy sprawdzian poziom podstawowy Nowa Era - cz. 2
Zadania na sprawdzian Nowa Era - Język matematyki
Język matematyki - przykładowy sprawdzian poziom podstawowy Nowa Era - cz. 3
Zadania na sprawdzian Nowa Era - Język matematyki
Język matematyki - przykładowy sprawdzian poziom podstawowy - Nowa Era