00dni
00godz.
00min
00sek.
⚠️ OSTATNIE DNI PROMOCJI! Od 1 listopada podwyżka cen. To Twoja ostatnia szansa na kurs w tej cenie!Z kursów skorzystało już ? kursantów.

Liczby rzeczywiste - przykładowy sprawdzian z matematyki - Nowa Era

Matura podstawowa
Szkoła średnia
Sprawdziany
Autor: Kamila z Matematyka Gryzie

Hej! 🙋🏼‍♀️

Dzisiaj przygotowałam dla Ciebie film, w którym przerobimy najważniejsze typy zadań na sprawdzian - Nowa Era - liczby rzeczywiste ⤵️

Pamiętaj jednak, że cała wiedza, którą powinieneś posiadać jest zawarta w moich pełnych kursach, w których każdy dział znajdziesz wytłumaczony krok po kroku od zera.

Niezależnie od tego na jakim poziomie matematyki jesteś - ze mną każdy znajdzie coś dla siebie! 🥰

Koniecznie pobierz PDF do druku z zadaniami i rozwiąż je z filmem, który znajdziesz poniżej🤓

Przykładowy sprawdzian Nowa Era poziom podstawowy - liczby rzeczywiste - zadania do druku PDF

Podaj e-mail i pobierz te zadania

Koniecznie obejrzyj film z rozwiązaniem do zadań ⤵️

⬇️ Kliknij i sprawdź moje pełne kursy ⬇️

👉🏼 Kurs do klasy 4

👉🏼 Kurs do klasy 5

👉🏼 Kurs do klasy 6

👉🏼 Kurs do klasy 7

👉🏼 Kurs do egzaminu ósmoklasisty

👉🏼 Kurs do szkoły średniej

👉🏼 Kurs do matury podstawowej

👉🏼 Kurs do matury rozszerzonej 
Liczby rzeczywiste - przykładowy sprawdzian poziom podstawowy Nowa Era - cz. 1
Zadania na sprawdzian Nowa Era - Liczby rzeczywiste
Liczby rzeczywiste - przykładowy sprawdzian poziom podstawowy Nowa Era - cz. 2
Zadania na sprawdzian Nowa Era - Liczby rzeczywiste
Liczby rzeczywiste - przykładowy sprawdzian poziom podstawowy Nowa Era - cz. 3
Zadania na sprawdzian Nowa Era - Liczby rzeczywiste
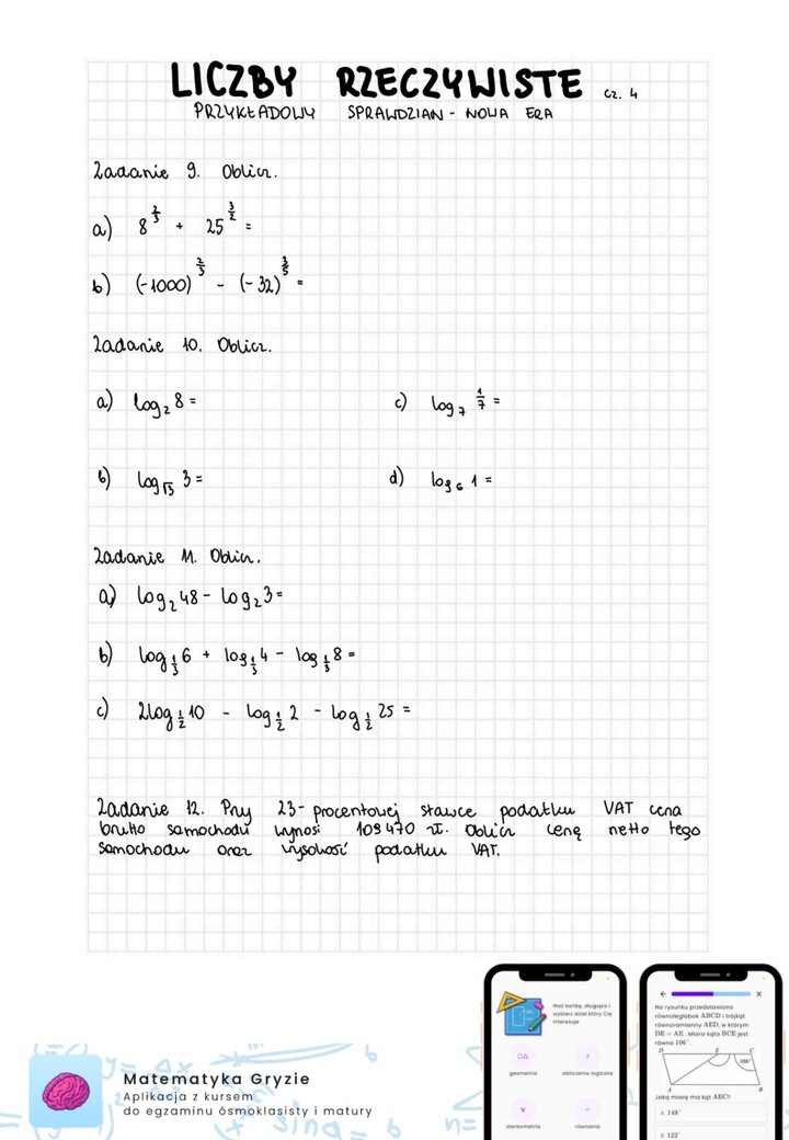
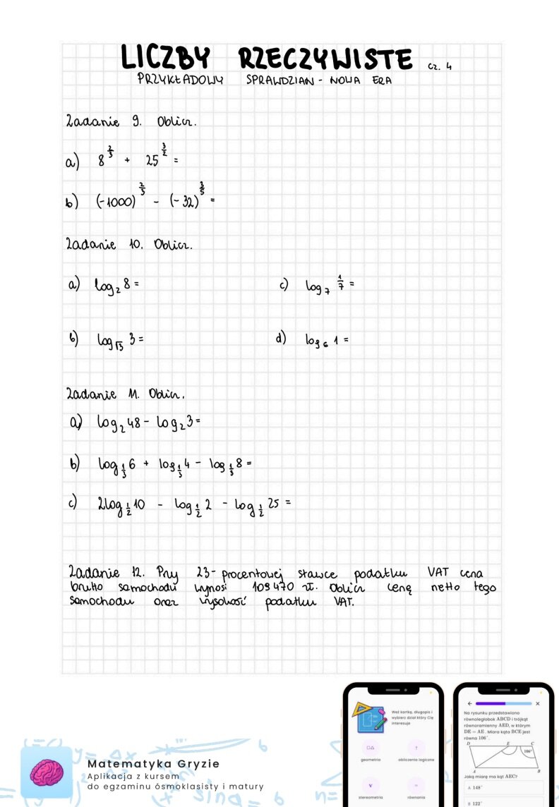
Liczby rzeczywiste - przykładowy sprawdzian poziom podstawowy Nowa Era - cz. 4
Zadania na sprawdzian Nowa Era - Liczby rzeczywiste