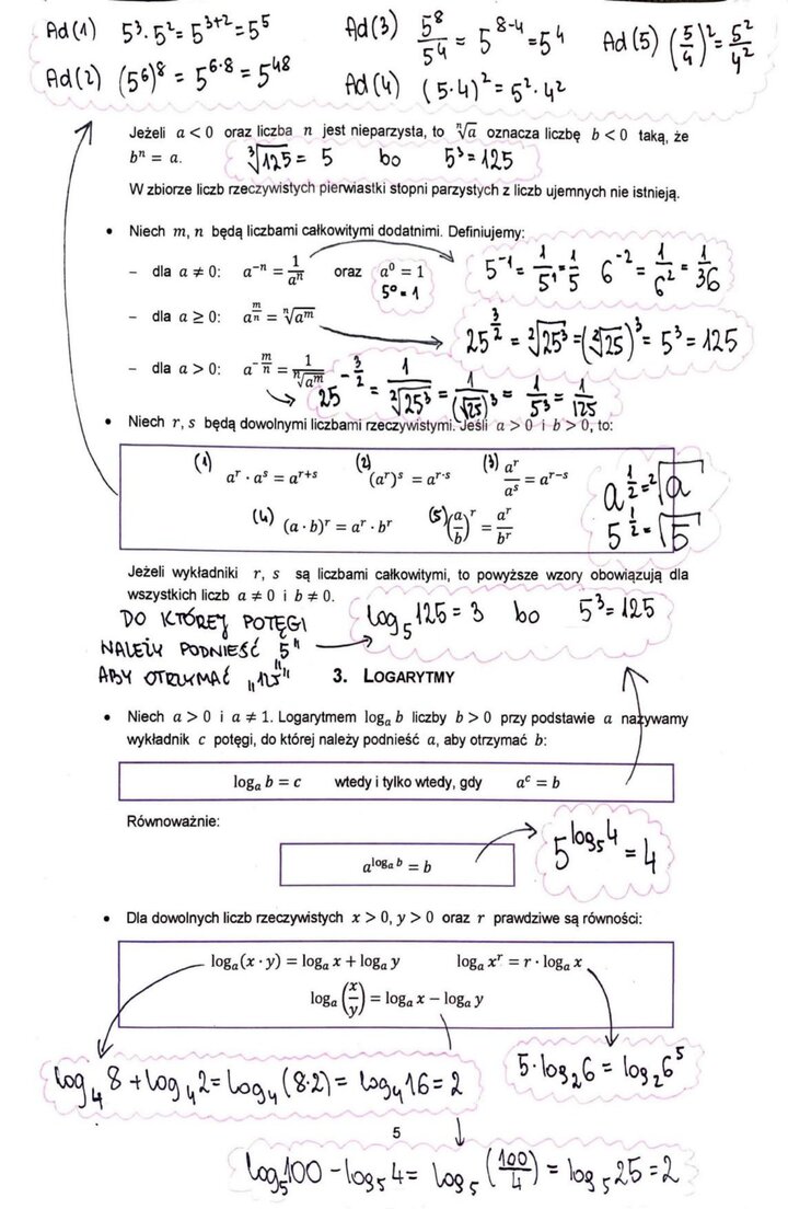
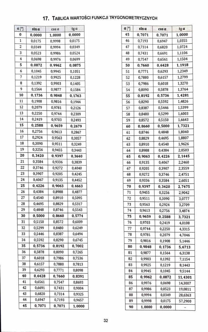
Poniżej przedstawiamy tablice maturalne z kompletnymi wzorami dla wszystkich uczniów!
Wierzymy, że udostępnienie kompletnych tablic maturalnych z dopisanymi brakującymi wzorami pomoże Wam w efektywnym przygotowaniu się do egzaminu. Mamy nadzieję, że te tablice staną się dla Was cennym narzędziem w nauce i pozwolą osiągnąć wspaniałe wyniki na egzaminie maturalnym.
Życzymy powodzenia i sukcesów na egzaminie maturalnym!
Zachęcam do przeczytania poniższych artykułów 😊
Pobierz te tablice
Podaj email aby pobrać tablice do matury uzupełnione o brakujące wzory w pdf
Pobierz te tablice
Podaj email aby pobrać tablice do matury uzupełnione o brakujące wzory w pdf