00dni
00godz.
00min
00sek.
⚠️ OSTATNIE DNI PROMOCJI! Od 1 listopada podwyżka cen. To Twoja ostatnia szansa na kurs w tej cenie!Z kursów skorzystało już ? kursantów.

Działania na zbiorach sprawdzian - powtórzenie materiału

Szkoła średnia
Notatki
Sprawdziany
Autor: Kamila z Matematyka Gryzie

🤓 Specjalnie dla Was przygotowałam karty pracy z działań na zbiorach

Zachęcam Cię do ich przerobienia! 🖊️

Pamiętaj jednak, że cała wiedza, którą powinieneś posiadać jest zawarta w moich pełnych kursach, w których każdy dział znajdziesz wytłumaczony krok po kroku od zera.

Niezależnie od tego na jakim poziomie matematyki jesteś - ze mną każdy znajdzie coś dla siebie! 🥰

Działania na zbiorach cz. 1

Działania na zbiorach cz. 1

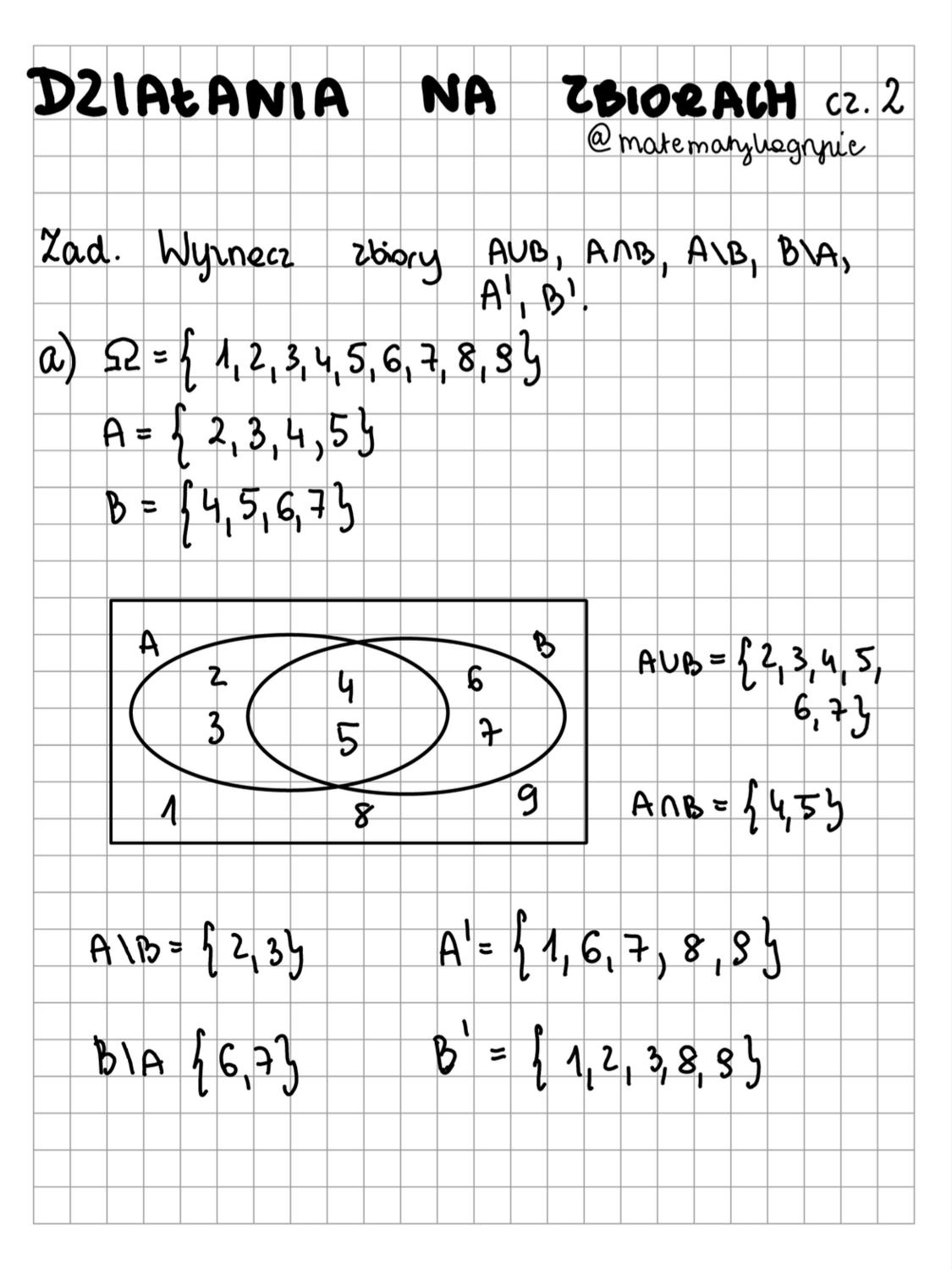
Działania na zbiorach cz. 2

Działania na zbiorach cz. 2
Działania na zbiorach cz. 2

Działania na zbiorach cz. 3

Działania na zbiorach cz. 3
Działania na zbiorach cz. 3

Działania na zbiorach cz. 4

Działania na zbiorach cz. 4
Działania na zbiorach cz. 4

Działania na zbiorach cz. 5

Działania na zbiorach cz. 5
Działania na zbiorach cz. 5
Działania na zbiorach sprawdzian - powtórzenie materiału